JAJA816E July 1994 – July 2021
速度が上がるにつれて、ロジックデバイスは低速の入力エッジレートに敏感になりました。入力エッジレートが低速だと、出力スイッチのときに電源レールで生成されるノイズが重なると、過剰な出力エラーや発振が発生する可能性があります。同様の状況は、未使用の入力がフローティングのままになっている場合や有効なロジックレベルでアクティブに保持されていない場合に発生する可能性があります。
機能上の問題は、出力負荷電流(IO)がスイッチング中に寄生リードインダクタンスを通って流れると、デバイスの電源システムで発生する電圧過渡に起因するものです(図 2-1を参照)。本デバイスの内部電源ノードは IC 全体で電圧リファレンスとして使用されるため、誘導性の電圧スパイクVGNDが、内部のゲート構造に現れる信号経路に影響を及ぼします。たとえば、デバイスのグランドノードに印加される電圧が上昇すると、入力信号Viの振幅が減少していくように見えます。この望ましくない現象によって、しきい値違反が発生した場合に出力を誤って変更する可能性があります。
入力エッジがゆっくりと立ち上がり、GND の電圧の変化が十分大きい場合、本デバイスの見かけ上の信号VI'がしきい値を超えて逆方向に駆動されたように見え、出力は逆方向にスイッチングを開始します。ワーストケースの条件が優先される場合(大きな過渡負荷電流とすべての出力を同時にスイッチング)、低速入力エッジがしきい値電圧を超えて繰り返し駆動され、出力は動揺します。したがって、回路やパッケージの損傷を防ぐため、デバイスの最大入力遷移時間に違反しないようにする必要があります。
図 2-1 入出力モデル入力に 0.8V ~ 2V の電圧を長時間印加すると、この状況は致命的なものとなるので、特にビット数が多く高密度のパッケージ(SSOP、TSSOP)では無視しないでください。たとえば、18 ビットのトランシーバで、しきい値でフローティング(浮遊)している I/O ピンが 36本ある場合、VCCからの電流は150 mAから200 mAまで上がる可能性があります。これはデバイスによって消費される電力が約1W になり、深刻な過熱問題につながります。デバイスがこのように連続的に過熱すると、デバイスの信頼性に影響が及びます。また、入力がしきい値の領域内にあるため、出力が動揺る傾向があり、内部回路が長時間にわたって損傷することになります。データシートには、入力が TTL レベルであるときの電源電流(Δ ICC)の増大が示されています[ABT http://www.ti.com/sitesearch/docs/universalsearch.tsp?searchTerm=ABT#linkId=2 VI = 3.4V、Δ ICC = 1.5 mAの場合(表 2-1を参照)]。この特性は、入力がしきい値の領域内にある場合、図2-2に示すとおり、さらに重要になります。
これらの特性は、マイクロプロセッサやメモリを含むすべての CMOS 入力回路で共通です。
CBTまたはCBTLVデバイスの場合、制御入力にこれが適用されます。FBおよびGTLデバイスの場合、これは制御入力と TTL ポートにのみ適用されます。
| 最小値 | 最大値 | 単位 | |||||
|---|---|---|---|---|---|---|---|
| ΔICC (2) | ABT、 AHCT | VCC = 5.5V、 | 3.4V の単一入力、 | 他の入力は VCC または GND | 1.5 | mA | |
| CBT 制御入力 |
VCC = 5.5V、 | 3.4V の単一入力、 | 他の入力は VCC または GND | 2.5 | |||
| ΔICC (2) | CBTLV 制御入力 |
VCC = 3.6V、 | 3V の単一入力、 | 他の入力は VCC または GND | 750 | µA | |
| ΔICC (2) | LVC | VCC = 3V ~ 36V | 1 つの入力は VCC – 0.6V、 | 他の入力は VCC または GND | 0.2 | mA | |
| LVC 、ALVC、LV | 0.5 | ||||||

| VCC = 5 V | TA = 25℃ | |
| 36 ビットすべては 0V ~ 6Vで駆動されます | ||
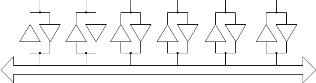
ドライバが伝送経路またはバスでアクティブである限り、レシーバの入力は常に有効な状態になります。立ち上がりおよび立ち下がり時間がデータシートの制限範囲内である限り、入力仕様に違反することはありません。ただし、ドライバが高インピーダンス状態になると、レシーバの入力は定義されたレベルではなくなり、フローティングになる傾向があります。複数のトランシーバが同じバスを共有すると、この状況は悪化する可能性があります。図 2-3 は代表的なバスシステムの例です。すべてのトランシーバが非アクティブのとき、バスラインのレベルは未定義です。バス上の各コンポーネントのリーク電流によって決まる電圧に達した場合、その状態をフローティング状態と呼びます。その結果、消費電力が大幅に増加し、バス上のすべてのコンポーネントが損傷する危険性があります。入力または I/O ピンを使用していないとき、またはそれらを駆動する部分が高インピーダンス状態にあるときは、有効なロジックレベルに保持することをお勧めします。
図 2-3 代表的な双方向バス