SLAA547C July   2013  – July 2021 MSP430FR5739

 

  1. 1Software Benchmarks
    1. 1.1 AES Benchmarks
    2. 1.2 DES Benchmarks
    3. 1.3 SHA-2 Benchmarks
  2. 2Using Library Functions
    1. 2.1 AES 128
      1. 2.1.1 Encrypting With AES 128
      2. 2.1.2 Decrypting With AES 128
    2. 2.2 DES
      1. 2.2.1 Setting the Key Schedule for DES
      2. 2.2.2 Encrypting and Decryption With DES
      3. 2.2.3 Encryption and Decryption With DES CBC Mode
    3. 2.3 3DES
      1. 2.3.1 Encrypting and Decrypting With Triple DES
    4. 2.4 SHA-2
      1. 2.4.1 Hashing With SHA-256
      2. 2.4.2 Hashing With SHA-224
  3. 3Overview of Library Functions
    1. 3.1 AES 128
      1.      aes_enc_dec
      2.      aes_encrypt
    2. 3.2 DES and 3DES
      1.      Des_Key
      2.      Des_Enc
      3.      Des_Dec
      4.      DES_ENC_CBC
      5.      DES_DEC_CBC
      6.      TripleDES_ENC
      7.      TripleDES_DEC
      8.      TripleDES_ENC_CBC
      9.      TripleDES_DEC_CBC
    3. 3.3 SHA-256 and SHA-224
      1.      SHA_256
  4. 4Cryptographic Standard Definitions
    1. 4.1 AES
      1. 4.1.1 Basic Concept of Algorithm
      2. 4.1.2 Structure of Key and Input Data
      3. 4.1.3 Substitute Bytes (Subbytes Operation)
      4. 4.1.4 Shift Rows (Shiftrows Operation)
      5. 4.1.5 Mix Columns (Mixcolumns Operation)
      6. 4.1.6 Add Round Key (Addroundkey Operation)
      7. 4.1.7 Key Expansion (Keyexpansion Operation)
    2. 4.2 DES and 3DES
      1. 4.2.1 DES Algorithm Structure
      2. 4.2.2 The Function Block
      3. 4.2.3 Key Schedule
      4. 4.2.4 Triple DES
      5. 4.2.5 Cipher Block Chaining (CBC) Mode
    3. 4.3 SHA-256 and SHA-224
      1. 4.3.1 Message Padding and Parsing
      2. 4.3.2 SHA-256 Algorithm
      3. 4.3.3 Equations Found in SHA-256 Algorithm
      4. 4.3.4 SHA-224
  5. 5References
    1.     Revision History

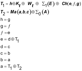
Equations Found in SHA-256 Algorithm

Symbols in Equations:

Equation 1. GUID-6F27C856-467C-4921-9A58-738600A14145-low.gif

Functions:

ch(x,y,z) = (x & y) ⊕ (x' & z)

Ma (x, y, z) = (x & y) ⊕ (x & z) ⊕ (y & z)

σ0(x)

Equation 2. GUID-F7EDA5BB-5ECA-47CB-A3B2-94D24AF7130D-low.gif

Loop Equations:

Equation 3. GUID-6800DB94-81C4-4632-A75F-7B5B8570C5D7-low.gif