SLVUBE3B May   2018  – June 2021 TPS56637

 

  1.   Trademarks
  2. 1Introduction
  3. 2Performance Specification Summary
  4. 3Modifications
    1. 3.1 Output Voltage Setpoint
  5. 4Test Setup and Results
    1. 4.1 Input/Output Connections
    2. 4.2 Start-Up Procedure
  6. 5Board Layout
    1. 5.1 Layout
  7. 6Schematic, List of Materials, and Reference
    1. 6.1 Schematic
    2. 6.2 List of Materials
    3. 6.3 Reference
  8. 7Revision History

Output Voltage Setpoint

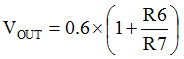
To change the output voltage of the EVMs, it is necessary to change the value of resistor R6. Changing the value of R6 can change the output voltage above 0.6 V. The value of R6 for a specific output voltage can be calculated using Equation 1.

Equation 1. GUID-156BE49F-3067-4982-BEE0-0C9E83AAE28C-low.gif

Table 3-1 lists the R6 values for some common output voltages.

Table 3-1 Recommended Component Values
OUTPUT VOLTAGE(1)
(V)
R6(2)
(kΩ)
R7
(kΩ)
L1 (µH)COUT(3)
(µF)
C9 (pF)(4)R8 (kΩ)(4)
MINTYPMAX
1.057.510.013035100
1.21010.013035100
1.82010.01.23035100
3.345.310.02.22035100100 to 22020
573.210.03.32030100100 to 22020
1219110.05.62530100100 to 22020
Please use the recommended L1 and COUT combination of the higher and closest output rail for unlisted output rails.
R6=0Ω for VOUT=0.6V
COUT is the sum of effective output capacitance. In this datasheet the effective capacitance is defined as the actual capacitance under DC bias and temperature, not the rated or nameplate values. All high value ceramic capacitors have a large voltage coefficient in addition to normal tolerances and temperature effects. A careful study of bias and temperature variation of any capacitor bank should be made in order to ensure that the minimum value of effective capacitance is provided. Refer to the information of DC bias and temperature characteristics from manufacturers of ceramic capacitors.
R8 and C9 can be used to improve the load transient response or improve the loop-phase margin. The application report Optimizing Transient Response of Internally Compensated DCDC Converters with Feed-forward Capacitor is helpful when experimenting with a feed-forward capacitor.