SNOAA85 January 2022 LMP7704-SP

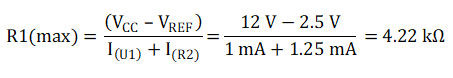
Use the following equation to calculate the maximum value of R1:

A value of 3.9 kΩ is therefore suitable for R1.
Use the following equation to calculate the RC time constant needed for the desired cutoff frequency:

Using values of R4 = 110 Ω and C1 = 10 μF results in a cutoff frequency of 145 Hz.
