SBASAN9 September 2023 AMC130M02
PRODUCTION DATA
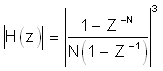
Equation 5 calculates the z-domain transfer function of a sinc3 filter that is used for OSRs of 1024 and lower.

where:
Equation 6 calculates the transfer function of a sinc3 filter in terms of the continuous-time frequency parameter f.

where:
Figure 8-7 and Figure 8-8 show the digital filter response of the fast-settling filter and the sinc3 filter for OSRs of 1024 and lower. Figure 8-9 and Figure 8-10 show the digital filter response of the sinc3 + sinc1 filter for an OSR of 4096.
Figure 8-7 Fast-Settling and Sinc3 Digital Filter Response
Figure 8-9 Digital Filter Response for OSR = 4096 as a Combination of Sinc3
+ Sinc1
Figure 8-8 Fast-Settling and Sinc3 Digital Filter Response, Pass-Band Detail
Figure 8-10 Sinc3 + Sinc1 Digital Filter Response at OSR =
4096, Pass-Band Detail