SLVSCU2 December   2014 TPS2592BA , TPS2592BL

PRODUCTION DATA.  

  1. Features
  2. Applications
  3. Description
  4. Application Schematic
  5. Revision History
  6. Device Comparison Table
  7. Pin Configuration and Functions
  8. Specifications
    1. 8.1 Absolute Maximum Ratings
    2. 8.2 ESD Ratings
    3. 8.3 Recommended Operating Conditions
    4. 8.4 Thermal Information
    5. 8.5 Electrical Characteristics
    6. 8.6 Timing Requirements
    7. 8.7 Typical Characteristics
  9. Detailed Description
    1. 9.1 Overview
    2. 9.2 Functional Block Diagram
    3. 9.3 Feature Description
      1. 9.3.1 GND
      2. 9.3.2 VIN
      3. 9.3.3 dV/dT
      4. 9.3.4 BFET
      5. 9.3.5 EN/UVLO
      6. 9.3.6 ILIM
    4. 9.4 Device Functional Modes
  10. 10Application and Implementation
    1. 10.1 Application Information
    2. 10.2 Typical Applications
      1. 10.2.1 Simple 3.7-A eFuse Protection for Set Top Boxes
        1. 10.2.1.1 Design Requirements
        2. 10.2.1.2 Detailed Design Procedure
          1. 10.2.1.2.1 Step by Step Design Procedure
          2. 10.2.1.2.2 Programming the Current-Limit Threshold: RILIM Selection
          3. 10.2.1.2.3 Undervoltage Lockout Set Point
          4. 10.2.1.2.4 Setting Output Voltage Ramp Time (TdVdT)
            1. 10.2.1.2.4.1 Case 1: Start-up without Load: Only Output Capacitance COUT Draws Current During Start-up
            2. 10.2.1.2.4.2 Case 2: Start-up with Load: Output Capacitance COUT and Load Draws Current During Start-up
        3. 10.2.1.3 Support Component Selection - CVIN
        4. 10.2.1.4 Application Curves
      2. 10.2.2 Inrush and Reverse Current Protection for Hold-Up Capacitor Application (e.g., SSD)
        1. 10.2.2.1 Design Requirements
        2. 10.2.2.2 Detailed Design Procedure
          1. 10.2.2.2.1 Programming the Current-Limit Threshold: RILIM Selection
          2. 10.2.2.2.2 Undervoltage Lockout Set Point
          3. 10.2.2.2.3 Setting Output Voltage Ramp Time (TdVdT)
        3. 10.2.2.3 Support Component Selection - CVIN
        4. 10.2.2.4 Application Curves
    3. 10.3 Maximum Device Power Dissipation Considerations
  11. 11Power Supply Recommendations
    1. 11.1 Transient Protection
    2. 11.2 Output Short-Circuit Measurements
  12. 12Layout
    1. 12.1 Layout Guidelines
    2. 12.2 Layout Example
  13. 13Device and Documentation Support
    1. 13.1 Device Support
      1. 13.1.1 Third-Party Products Disclaimer
    2. 13.2 Related Links
    3. 13.3 Trademarks
    4. 13.4 Electrostatic Discharge Caution
    5. 13.5 Glossary
  14. 14Mechanical, Packaging, and Orderable Information

Package Options

Mechanical Data (Package|Pins)
Thermal pad, mechanical data (Package|Pins)
Orderable Information

8 Specifications

8.1 Absolute Maximum Ratings

over operating temperature range (unless otherwise noted) (1) (2)
MIN MAX UNIT
Supply voltage range(1) VIN –0.3 20 V
VIN (10 ms Transient) 22
Output voltage OUT –0.3 VIN + 0.3 V
OUT (Transient < 1 µs) -1.2 V
Voltage ILIM –0.3 7 V
EN/UVLO –0.3 7
dV/dT –0.3 7
BFET –0.3 30
Continuous power dissipation See the Thermal Information
Maximum power dissipation(3),
PD = (VIN-VOUT)*ILIMIT
TA = –40°C to +85°C 40 W
TA = 0°C to +85°C 50
Storage temperature range, Tstg -65 150 °C
(1) Stresses beyond those listed under absolute maximum ratings may cause permanent damage to the device. These are stress ratings only and functional operation of the device at these or any conditions beyond those indicated under recommended operating conditions is not implied. Exposure to absolute-maximum-rated conditions for extended periods may affect device reliability.
(2) All voltage values, except differential voltages, are with respect to network ground terminal.
(3) Refer to detailed explanation in the application section Maximum Device Power Dissipation Considerations .

8.2 ESD Ratings

VALUE UNIT
V(ESD) Electrostatic discharge Human body model (HBM), per ANSI/ESDA/JEDEC JS-001(1) ±2000 V
Charged device model (CDM), per JEDEC specification JESD22-C101(2) ±500
(1) JEDEC document JEP155 states that 500-V HBM allows safe manufacturing with a standard ESD control process.
(2) JEDEC document JEP157 states that 250-V CDM allows safe manufacturing with a standard ESD control process.

8.3 Recommended Operating Conditions

over operating free-air temperature range (unless otherwise noted)
MIN TYP MAX UNIT
Input voltage range VIN 4.5 5 5.5 V
BFET 0 VIN+6
dV/dT, EN/UVLO 0 6
ILIM 0 3.3
Continuous output current IOUT 0 5 A
Resistance ILIM 10 100 162
External capacitance OUT 0.1 1 1000 µF
dV/dT 1 1000 nF
Operating junction temperature range, TJ –40 25 125 °C
Operating Ambient temperature range, TA –40 25 85 °C

8.4 Thermal Information(1)

over operating free-air temperature range (unless otherwise noted)
THERMAL METRIC TPS2592Bx UNIT
DRC (10) PINS
RθJA Junction-to-ambient thermal resistance 45.9 °C/W
RθJCtop Junction-to-case (top) thermal resistance 53
RθJB Junction-to-board thermal resistance 21.2
ψJT Junction-to-top characterization parameter 1.2
ψJB Junction-to-board characterization parameter 21.4
RθJCbot Junction-to-case (bottom) thermal resistance 5.9
(1) For more information about traditional and new thermal metrics, see the IC Package Thermal Metrics application report, SPRA953.

8.5 Electrical Characteristics

–40°C ≤ TJ ≤ 125°C, VIN = 5 V, VEN /UVLO = 2 V, RILIM = 100 kΩ, CdVdT = OPEN. All voltages referenced to GND (unless otherwise noted)
PARAMETER TEST CONDITIONS MIN TYP MAX UNIT
VIN (INPUT SUPPLY)
VUVR UVLO threshold, rising 4.15 4.3 4.45 V
VUVhyst UVLO hysteresis(1) 5.4%
IQON Supply current Enabled: EN/UVLO = 2 V 0.4 0.62 0.80 mA
IQOFF EN/UVLO = 0 V 0.1 0.25 mA
VOVC Over-voltage clamp VIN > 6.75 V, IOUT = 10 mA,
–40℃ ≤ TJ ≤ 85℃
5.5 6.1 6.75 V
VIN > 6.75 V, IOUT = 10 mA,
–40℃ ≤ TJ ≤ 125℃
5.25 6.1 6.75
EN/UVLO (ENABLE/UVLO INPUT)
VENR EN Threshold voltage, rising 1.37 1.4 1.44 V
VENF EN Threshold voltage, falling 1.32 1.35 1.39 V
IEN EN Input leakage current 0 V ≤ VEN ≤ 5 V –100 0 100 nA
dV/dT (OUTPUT RAMP CONTROL)
IdVdT dV/dT Charging current(1) VdVdT = 0 V 220 nA
RdVdT_disch dV/dT Discharging resistance EN/UVLO = 0 V, IdVdT = 10 mA sinking 50 73 100 Ω
VdVdTmax dV/dT Max capacitor voltage(1) 5.5 V
GAINdVdT dV/dT to OUT gain(1) ΔVdVdT 4.85 V/V
ILIM (CURRENT LIMIT PROGRAMMING)
IILIM ILIM Bias current(1) 10 µA
IOL Overload current limit(2) RILIM = 45.3 kΩ, VVIN-OUT = 1 V 1.79 2.10 2.42 A
RILIM = 100 kΩ, VVIN-OUT = 1 V 3.46 3.75 4.03
RILIM = 150 kΩ, VVIN-OUT = 1 V 4.4 5.2 6
IOL-R-Short RILIM = 0 Ω, Shorted Resistor Current Limit (Single Point Failure Test: UL60950)(1) 0.7 A
IOL-R-Open RILIM = OPEN, Open Resistor Current Limit (Single Point Failure Test: UL60950)(1) 0.55 A
ISCL Short-circuit current limit(2) RILIM = 45.3 kΩ, VVIN-OUT = 5 V 1.72 2.05 2.38 A
RILIM = 100 kΩ, VVIN-OUT = 5 V 3.14 3.56 3.98
RILIM = 150 kΩ, VVIN-OUT = 5 V 4.12 4.86 5.60
RATIOFASTRIP Fast-Trip comparator level w.r.t. overload current limit(1) IFASTRIP : IOL 160%
VOpenILIM ILIM Open resistor detect threshold(1) VILIM Rising, RILIM = OPEN 3.1 V
OUT (PASS FET OUTPUT)
RDS(on) FET ON resistance TJ = 25°C 21 28 33
T= 125°C 39 46
IOUT-OFF-LKG OUT Bias current in off state VEN/UVLO = 0 V, VOUT = 0 V (Sourcing) –5 0 1 µA
IOUT-OFF-SINK VEN/UVLO = 0V, VOUT = 300 mV (Sinking) 10 15 20
BFET (BLOCKING FET GATE DRIVER)
IBFET BFET Charging current(1) VBFET = VOUT 2 µA
VBFETmax BFET Clamp voltage(1) VVIN + 6.4 V
RBFETdisch BFET Discharging resistance to GND VEN/UVLO = 0 V, IBFET = 100 mA 15 26 36 Ω
TSD (THERMAL SHUT DOWN)
TSHDN TSD Threshold, rising(1) 160 °C
TSHDNhyst TSD Hysteresis(1) 10 °C
Thermal fault: latched or autoretry TPS2592BL LATCHED
TPS2592BA AUTO-RETRY
(1) These parameters are provided for reference only and do not constitute part of TI's published device specifications for purposes of TI's product warranty.
(2) Pulsed testing techniques used during this test maintain junction temperature approximately equal to ambient temperature.

8.6 Timing Requirements

PARAMETER TEST CONDITIONS MIN TYP MAX UNIT
TON Turn-on delay(1) EN/UVLO → H to IVIN = 100 mA, 1-A resistive load at OUT 220 µs
tOFFdly Turn Off delay(1) EN↓ to BFET↓, CBFET = 0 0.4 µs
dV/dT (OUTPUT RAMP CONTROL)
tdVdT Output ramp time EN/UVLO → H to OUT = 4.9 V, CdVdT = 0 0.28 0.4 0.52 ms
EN/UVLO → H to OUT = 4.9 V,
CdVdT = 1 nF(1)
5
ILIM (CURRENT LIMIT PROGRAMMING)
tFastOffDly Fast-Trip comparator delay(1) IOUT > IFASTRIP to IOUT= 0 (Switch Off) 3 µs
BFET (BLOCKING FET GATE DRIVER)
tBFET-ON BFET Turn-On duration(1) EN/UVLO → H to VBFET = 12 V, CBFET = 1 nF 4.2 ms
EN/UVLO → H to VBFET = 12 V, CBFET = 10 nF 42
tBFET-OFF BFET Turn-Off duration(1) EN/UVLO → L to VBFET = 1 V, CBFET = 1 nF 0.4 µs
EN/UVLO → L to VBFET = 1 V, CBFET = 10 nF 1.4
(1) These parameters are provided for reference only and do not constitute part of TI's published device specifications for purposes of TI's product warranty.

8.7 Typical Characteristics

TJ = 25°C, VVIN = 5 V, VEN/UVLO = 2 V, RILIM = 100 kΩ, CVIN = 0.1 µF, COUT = 1 µF, CdVdT = OPEN (unless stated otherwise)
TPS2592BA TPS2592BL C001_SLVSC11.png
Figure 1. Input UVLO vs Temperature
TPS2592BA TPS2592BL C004_SLVSC11.png
TPS2592Bx
Figure 3. IVIN-ON vs VIN
TPS2592BA TPS2592BL fig08_revB_SLVSC11.gif
TPS2592Bx
Figure 5. Transient: Over Voltage Clamp
TPS2592BA TPS2592BL C010_SLVSC11.png
Figure 7. IdVdT vs Temperature
TPS2592BA TPS2592BL C015_revB_SLVSC11.gif
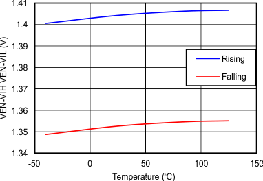
Figure 9. VEN_VIH, VEN_VIL vs Temperature
TPS2592BA TPS2592BL fig19_revB2_lvsc11.gif
TPS2592Bx, CdVdT = OPEN, COUT= 4.7 µF
Figure 11. Transient: Output Ramp
TPS2592BA TPS2592BL fig21_revB2_lvsc11.gif
EN ↓
Figure 13. Transient: Turn Off Delay
TPS2592BA TPS2592BL fig23_revB2_lvsc11.gif
VIN↓
Figure 15. Turn Off Delay to BFET
TPS2592BA TPS2592BL C027_SLVSC11.gif
150 kΩ
Figure 17. IOUT vs VVIN-OUT
TPS2592BA TPS2592BL C029_SLVSC11.gif
45.3 kΩ
Figure 19. IOUT vs VVIN-OUT
TPS2592BA TPS2592BL C031_SLVSC11.png
100 kΩ
Figure 21. IOL, ISC vs Temperature
TPS2592BA TPS2592BL C033_SLVSC11.png
RILIM = 0
Figure 23. IOL-R-Short vs Temperature
TPS2592BA TPS2592BL C035_SLVSC11.png
Figure 25. VOpenILIM vs Temperature
TPS2592BA TPS2592BL fig037_revB_SLVSC11.gif
Figure 27. Short Circuit (Zoom): Fast-Trip Comparator
TPS2592BA TPS2592BL fig39_revB2_lvsc11.gif
Figure 29. Transient: Wake Up to Short Circuit
TPS2592BA TPS2592BL fig41_revB2_lvsc11.gif
TPS2592BA
Figure 31. Transient: Thermal Fault Auto-Retry
TPS2592BA TPS2592BL D001_SLVSCU2.gif
Figure 33. Accuracy vs Overload Current Limit
TPS2592BA TPS2592BL C002_SLVSC11.png
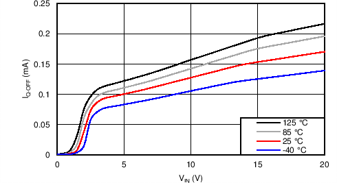
Figure 2. IQOFF vs VIN
TPS2592BA TPS2592BL C006B_SLVSC11.png
TPS2592Bx
Figure 4. VOVC vs Temperature
TPS2592BA TPS2592BL C009B_SLVSC11.png
Figure 6. TON vs Temperature
TPS2592BA TPS2592BL C014_SLVSC11.png
TPS2592Bx
Figure 8. TdVdT vs CdVdT
TPS2592BA TPS2592BL C016_SLVSC11.png
Figure 10. IEN (Leakage Current) vs VEN
TPS2592BA TPS2592BL fig20_revB2_lvsc11.gif
TPS2592Bx, CdVdT = 1 nF, COUT=10 µF, ROUT= 2.5 Ω
Figure 12. Transient Output Ramp
TPS2592BA TPS2592BL fig022_revB_SLVSC11.gif
EN↓
Figure 14. Turn Off Delay to BFET
TPS2592BA TPS2592BL C026_SLVSC11.png
Figure 16. RDSON vs Temperature
TPS2592BA TPS2592BL C028_SLVSC11.gif
100 kΩ
Figure 18. IOUT vs VVIN-OUT
TPS2592BA TPS2592BL C030_SLVSC11.png
150 kΩ
Figure 20. IOL, ISC vs Temperature
TPS2592BA TPS2592BL C032_SLVSC11.png
45.3 kΩ
Figure 22. IOL, ISC vs Temperature
TPS2592BA TPS2592BL C034_SLVSC11.png
RILIM = OPEN
Figure 24. IOL-R-Open vs Temperature
TPS2592BA TPS2592BL fig36_revB2_lvsc11.gif
Figure 26. Transient: Output Short Circuit
TPS2592BA TPS2592BL fig38_revB2_lvsc11.gif
Figure 28. Transient: Recovery From Short Circuit / Over Current
TPS2592BA TPS2592BL fig40_revB2_lvsc11.gif
ILOAD Stepped From 50% to 120%, back to 50%
Figure 30. Transient: Overload Current Limit
TPS2592BA TPS2592BL fig42_revB2_lvsc11.gif
TPS2592BL
Figure 32. Transient: Thermal Fault Latched
TPS2592BA TPS2592BL D003_SLVSCU2.gif
Figure 34. Overload Current Limit vs RILIM