JAJS503C June   2008  – July 2018 ADS7950 , ADS7951 , ADS7952 , ADS7953 , ADS7954 , ADS7955 , ADS7956 , ADS7957 , ADS7958 , ADS7959 , ADS7960 , ADS7961

PRODUCTION DATA.  

  1. 特長
  2. アプリケーション
    1.     詳細ブロック図
  3. 概要
  4. 改訂履歴
  5. デバイス比較表
  6. Pin Configuration and Functions
    1.     Pin Functions: TSSOP Packages
    2.     Pin Functions: VQFN Packages
  7. Specifications
    1. 7.1  Absolute Maximum Ratings
    2. 7.2  ESD Ratings
    3. 7.3  Recommended Operating Conditions
    4. 7.4  Thermal Information: TSSOP
    5. 7.5  Thermal Information: VQFN
    6. 7.6  Electrical Characteristics: ADS7950, ADS7951, ADS7952, ADS7953
    7. 7.7  Electrical Characteristics, ADS7954, ADS7955, ADS7956, ADS7957
    8. 7.8  Electrical Characteristics, ADS7958, ADS7959, ADS7960, ADS7961
    9. 7.9  Timing Requirements
    10. 7.10 Typical Characteristics (All ADS79xx Family Devices)
    11. 7.11 Typical Characteristics (12-Bit Devices Only)
    12. 7.12 Typical Characteristics (12-Bit Devices Only)
  8. Detailed Description
    1. 8.1 Overview
    2. 8.2 Functional Block Diagram
    3. 8.3 Feature Description
      1. 8.3.1 Reference
      2. 8.3.2 Power Saving
    4. 8.4 Device Functional Modes
      1. 8.4.1 Channel Sequencing Modes
      2. 8.4.2 Device Programming and Mode Control
        1. 8.4.2.1 Mode Control Register
        2. 8.4.2.2 Program Registers
      3. 8.4.3 Device Power-Up Sequence
      4. 8.4.4 Operating in Manual Mode
      5. 8.4.5 Operating in Auto-1 Mode
      6. 8.4.6 Operating in Auto-2 Mode
      7. 8.4.7 Continued Operation in a Selected Mode
    5. 8.5 Programming
      1. 8.5.1 Digital Output
      2. 8.5.2 GPIO Registers
      3. 8.5.3 Alarm Thresholds for GPIO Pins
  9. Application and Implementation
    1. 9.1 Application Information
      1. 9.1.1 Analog Input
    2. 9.2 Typical Applications
      1. 9.2.1 Unbuffered Multiplexer Output (MXO)
        1. 9.2.1.1 Design Requirements
        2. 9.2.1.2 Detailed Design Procedure
        3. 9.2.1.3 Application Curves
      2. 9.2.2 OPA192 Buffered Multiplexer Output (MXO)
        1. 9.2.2.1 Design Requirements
        2. 9.2.2.2 Detailed Design Procedure
        3. 9.2.2.3 Application Curves
  10. 10Power Supply Recommendations
  11. 11Layout
    1. 11.1 Layout Guidelines
    2. 11.2 Layout Examples
  12. 12デバイスおよびドキュメントのサポート
    1. 12.1 ドキュメントのサポート
      1. 12.1.1 関連資料
    2. 12.2 関連リンク
    3. 12.3 ドキュメントの更新通知を受け取る方法
    4. 12.4 コミュニティ・リソース
    5. 12.5 商標
    6. 12.6 静電気放電に関する注意事項
    7. 12.7 Glossary
  13. 13メカニカル、パッケージ、および注文情報

パッケージ・オプション

デバイスごとのパッケージ図は、PDF版データシートをご参照ください。

メカニカル・データ(パッケージ|ピン)
  • RHB|32
  • DBT|38
サーマルパッド・メカニカル・データ
発注情報

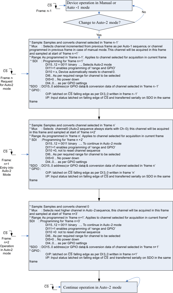
Operating in Auto-2 Mode

Figure 55 illustrates the steps involved in entering and operating in Auto-2 channel sequencing mode. Table 5 lists the mode control register settings for Auto-2 mode.

ADS7950 ADS7951 ADS7952 ADS7953 ADS7954 ADS7955 ADS7956 ADS7957 ADS7958 ADS7959 ADS7960 ADS7961 man3_mode_las605.gifFigure 55. Entering and Running in Auto-2 Channel Sequencing Mode

Figure 56 shows an example in which Auto-2 mode is used to scan channels 0, 1, and 2. Auto-2 mode is selected to scan all channels until channel 2 (CH2) in ascending order by programming the Auto-2 register as described in Figure 56. The device enters Auto-2 mode on receiving the Auto-2 mode command in the Nth frame. This step causes the MUX to switch to CH0 in the (N+1)th frame. In the (N+2)th frame, the ADC samples and shifts out the conversion results for CH0 because the MUX internally switches to CH1. In the (N+3)th frame, the ADC samples and the shifts out the conversion result for CH1 and the MUX also switches to CH2, and so on. When this process reaches the maximum selected channel, CH2 in this case, the device returns to CH0 and repeats the cycle as long as the device remains in Auto-2 mode. Entering Auto-2 mode from any other mode also causes the device to restart from CH0. Additionally, modifying the contents of the for Auto-2 program register while operating in Auto-2 also causes the device to scan for restart from CH0.

ADS7950 ADS7951 ADS7952 ADS7953 ADS7954 ADS7955 ADS7956 ADS7957 ADS7958 ADS7959 ADS7960 ADS7961 AUTO2_SLAS605C.gifFigure 56. Example Auto-2 Mode Timing Diagram

Table 5. Mode Control Register Settings for Auto-2 Mode

BITS RESET STATE LOGIC STATE FUNCTION
DI15-12 0001 0011 Selects Auto-2 Mode
DI11 0 1 Enables programming of bits DI10-00.
0 Device retains values of DI10-00 from the previous frame.
DI10 0 1 Channel number is reset to Ch-00.
0 Channel counter increments every conversion.(No reset).
DI09-07 000 xxx Do not care
DI06 0 0 Selects VREF i/p range (Range 1)
1 Selects 2xVREF i/p range (Range 2)
DI05 0 0 Device normal operation (no powerdown)
1 Device powers down on the 16th SCLK falling edge
DI04 0 0 SDO outputs the current channel address of the channel on DO15..12 followed by the 12-bit conversion result on DO11..00.
1 GPIO3-GPIO0 data (both input and output) is mapped onto DO15-DO12 in the order shown below. Lower data bits DO11-DO00 represent the 12-bit conversion result of the current channel.
DO15 DO14 DO13 DO12
GPIO3(1) GPIO2(1) GPIO1(1) GPIO0(1)
DI03-00 0000 GPIO data for the channels configured as output. Device ignores data for the channel which is configured as input. SDI bit and corresponding GPIO information is given below
DI03 DI02 DI01 DI00
GPIO3(1) GPIO2(1) GPIO1(1) GPIO0(1)
GPIO 1 to 3 are available only in TSSOP packaged devices. QFN device offers GPIO 0 only.

The Auto-2 Program Register is programmed (once on powerup or reset) to pre-select the last channel (or sequence depth) in the Auto-2 sequence. Unlike Auto-1 Program Register programming, Auto-2 Program Register programming requires only 1 CS frame for complete programming. See Figure 57 and Table 6 for complete details.

ADS7950 ADS7951 ADS7952 ADS7953 ADS7954 ADS7955 ADS7956 ADS7957 ADS7958 ADS7959 ADS7960 ADS7961 sel_mode_las605.gif

NOTE:

The device continues its operation in the selected mode during programming. SDO is valid, however it is not possible to change the range or write GPIO data into the device during programming.
Figure 57. Auto-2 Register Programming Flowchart

Table 6. Program Register Settings for Auto-2 Mode

BITS RESET STATE LOGIC STATE FUNCTION
DI15-12 NA 1001 Auto-2 program register is selected for programming
DI11-10 NA Do not care
DI09-06 NA aaaa This 4-bit data represents the address of the last channel in the scanning sequence. During device operation in Auto-2 mode, the channel counter starts at CH-00 and increments every frame until it equals “aaaa”. The channel counter roles over to CH-00 in the next frame.
DI05-00 NA Do not care