JAJSHM6E june 2019 – february 2021 UCC256402 , UCC256403 , UCC256404
PRODUCTION DATA
The LLC converter topology does not require an output filter although a small second stage filter inductor may be useful in reducing peak-to-peak output noise. Assuming that the output capacitors carry the rectifier’s full wave output current then the capacitor ripple current rating is:

Use 20 V rating for 12-V output voltage:

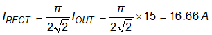
The capacitor’s RMS current rating is:

Solid Aluminum capacitors with conductive polymer technology have high ripple-current ratings and are a good choice, especially if the design is required to operate at colder temperatures. The ripple-current rating for a single capacitor may not be sufficient so multiple capacitors are often connected in parallel.
The ripple voltage at the output of the LLC stage is a function of the amount of AC current that flows in the capacitors. To estimate this voltage, assume that all the current, including the DC current in the load, flows in the filter capacitors.

The capacitor specifications are: