JAJSPS6 february   2023 TDC1000-Q1

PRODUCTION DATA  

  1. 特長
  2. アプリケーション
  3. 概要
  4. 改訂履歴
  5. ピン構成および機能
  6. 仕様
    1. 6.1 絶対最大定格
    2. 6.2 ESD 定格
    3. 6.3 推奨動作条件
    4. 6.4 熱に関する情報 #GUID-85677192-3B04-4958-89B0-56EA7EB89E00/APPNOTE_SPRA953
    5. 6.5 電気的特性
    6. 6.6 タイミング要件
    7. 6.7 スイッチング特性
    8. 6.8 代表的特性
  7. パラメータ測定情報
  8. 詳細説明
    1. 8.1 概要
    2. 8.2 機能ブロック図
    3. 8.3 機能説明
      1. 8.3.1 トランスミッタの信号パス
      2. 8.3.2 レシーバ信号パス
      3. 8.3.3 低ノイズ・アンプ (LNA)
      4. 8.3.4 プログラマブル・ゲイン・アンプ (PGA)
      5. 8.3.5 レシーバ・フィルタ
      6. 8.3.6 STOP パルス生成用のコンパレータ
        1. 8.3.6.1 スレッショルド検出器と DAC
        2. 8.3.6.2 ゼロクロス検出コンパレータ
        3. 8.3.6.3 イベント・マネージャ
      7. 8.3.7 同相バッファ (VCOM)
      8. 8.3.8 温度センサ
        1. 8.3.8.1 複数の RTD による温度測定
        2. 8.3.8.2 単一の RTD による温度測定
    4. 8.4 デバイスの機能モード
      1. 8.4.1 TOF 測定モード
        1. 8.4.1.1 モード 0
        2. 8.4.1.2 モード 1
        3. 8.4.1.3 モード 2
      2. 8.4.2 ステート・マシン
      3. 8.4.3 送信動作
        1. 8.4.3.1 送信パルスのカウント
        2. 8.4.3.2 TX の 180°パルス・シフト
        3. 8.4.3.3 トランスミッタのダンピング
      4. 8.4.4 RECEIVE 動作
        1. 8.4.4.1 シングル・エコー受信モード
        2. 8.4.4.2 マルチ・エコー受信モード
      5. 8.4.5 タイミング
        1. 8.4.5.1 タイミング制御と周波数スケーリング (CLKIN)
        2. 8.4.5.2 TX/RX 測定のシーケンスとタイミング
      6. 8.4.6 TOF (飛行時間) 制御
        1. 8.4.6.1 短い TOF 測定
        2. 8.4.6.2 標準 TOF 測定
        3. 8.4.6.3 パワー・ブランキングを使用する標準 TOF 測定
        4. 8.4.6.4 同相リファレンス電圧のセトリング・タイム
        5. 8.4.6.5 TOF 測定のインターバル
      7. 8.4.7 平均化とチャネル選択
      8. 8.4.8 エラー報告
    5. 8.5 プログラミング
      1. 8.5.1 シリアル・ペリフェラル・インターフェイス (SPI)
        1. 8.5.1.1 チップ・セレクト・バー (CSB)
        2. 8.5.1.2 シリアル・クロック (SCLK)
        3. 8.5.1.3 シリアル・データ入力 (SDI)
        4. 8.5.1.4 シリアル・データ出力 (SDO)
    6. 8.6 レジスタ・マップ
  9. アプリケーションと実装
    1. 9.1 アプリケーション情報
    2. 9.2 代表的なアプリケーション
      1. 9.2.1 液位と液体の識別の測定
        1. 9.2.1.1 設計要件
        2. 9.2.1.2 詳細な設計手順
          1. 9.2.1.2.1 液位測定
          2. 9.2.1.2.2 液体識別
        3. 9.2.1.3 アプリケーション曲線
      2. 9.2.2 水流量測定
        1. 9.2.2.1 設計要件
        2. 9.2.2.2 詳細な設計手順
          1. 9.2.2.2.1 規制と精度
          2. 9.2.2.2.2 超音波流量計での伝搬時間差方式
          3. 9.2.2.2.3 ΔTOF の精度要件の計算
          4. 9.2.2.2.4 動作
        3. 9.2.2.3 アプリケーション曲線
    3. 9.3 電源に関する推奨事項
    4. 9.4 レイアウト
      1. 9.4.1 レイアウトのガイドライン
      2. 9.4.2 レイアウト例
  10. 10デバイスおよびドキュメントのサポート
    1. 10.1 デバイスのサポート
      1. 10.1.1 開発サポート
    2. 10.2 ドキュメントの更新通知を受け取る方法
    3. 10.3 サポート・リソース
    4. 10.4 商標
    5. 10.5 静電気放電に関する注意事項
    6. 10.6 用語集
  11. 11メカニカル、パッケージ、および注文情報
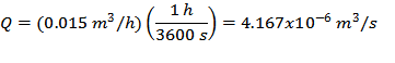
ΔTOF の精度要件の計算

表 9-2 の最小質量流量要件と精度要件に基づき、必要な ΔTOF 精度は次のように計算できます。

  1. 質量流量を m3/s に変換します。
    GUID-7E36E01E-6158-4D63-8FFF-AA58622E5915-low.gif
  2. k = 1 と想定して、流速を計算します。
    GUID-4EB97BE5-AA0E-4D4A-A514-331893BD2FC3-low.gif
  3. 与えられた音速に対する ΔTOF を計算します。この例では、音速 c = 1400m/s を想定しています。
    GUID-C1AB5B3F-3CFD-4C4A-90C0-BC54718EB632-low.gif
  4. 最小流量で 5% の精度が要求されるため、ΔTOF の精度は次のようになります。
    GUID-355B001C-4041-4757-BC9A-28E0E321EE3B-low.gif

この結果から、低い流量の状態を測定できる高精度のタイマ / ストップウォッチがシステムに必要です。