SBOA521 June   2021 OPA3S328

 

  1.   Trademarks
  2. 1Introduction
  3. 2The Transimpedance Amplifier and Photodiode Sensor
  4. 3The Programmable Gain Transimpedance Amplifier
  5. 4Stability of the Transimpedance Amplifier
  6. 5Integrated Switch Characteristics
    1. 5.1 TIA Stability and Switch Capacitance
    2. 5.2 TIA Output Swing and Switch On-Resistance
    3. 5.3 TIA Gain Error due to Switch On-Resistance
  7. 6Frequency Response Simulations
  8. 7Conclusion
  9. 8References

Frequency Response Simulations

Figure 6-1 shows the TINA-TI Schematic of the complete programmable gain transimpedance amplifer, including the buffer amplifier with Kelvin sense connections. Sub-circuits SWA and SWB model the switches capacitance and on-resistance.

GUID-20210611-CA0I-FJJJ-4QXK-TPBMXQMNH7ZM-low.gif Figure 6-1 TINA-TI Schematic of Complete Programmable Gain TIA

Figure 6-1 displays the simulation result for the TIA closed-loop frequency response with a gain of 200-kV/A, showing a corner frequency of 670kHz, exceeding the frequency response requirement.

GUID-20210611-CA0I-KK1N-NZTL-JM8ZKLGGSQS9-low.gif Figure 6-2 Frequency Response Simulation Result for RF1 = 200kΩ, CF1=1.6pF

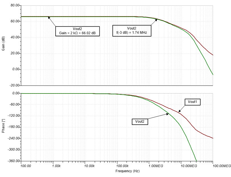
Figure 6-1 displays the simulation result for the TIA closed-loop frequency response with a gain of 200-kV/A, showing a corner frequency of 1.6MHz.

GUID-20210611-CA0I-KNWW-V64D-DW8VDJLMTRGN-low.gif Figure 6-3 Frequency Response Simulation Result for RF2 = 2kΩ, CF2=50pF

Both transimpedance amplifier gains showcase an AC response meeting the frequency response requirement with robust stability with very subtle peaking at the TIA output (less than <0.5dB, consistent with the ~55-degree phase margin of the circuit.