SLUSDK4E may 2020 – july 2023 UCC28782
PRODUCTION DATA
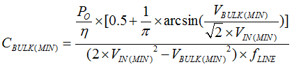
In an off-line rectified-AC application, the total input bulk capacitor (CBULK) should be sized to provide energy from the peak of the minimum input AC line voltage (VIN(MIN)) to the minimum allowable voltage (VBULK(MIN)) to the power conversion stage. Due to the transition-mode operation, too low of VBULK(MIN) selection results in higher RMS current at VIN(MIN) and affects the full load efficiency, while too high of VBULK(MIN) enlarges the volume of the bulk capacitor. This equation does not account for the hold-up time requirement over AC-line dips and drop-outs.

CBULK may be made up of more than one capacitor. Select standard values with sufficient margin to the calculated CBULK(MIN) to allow for tolerance and aging.