SLOS919D June 2016 – November 2023 DRV2510-Q1
PRODUCTION DATA
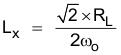
The output filter is optional and is mainly for limiting peak currents. A second-order Butterworth low-pass filter with the cut-off frequency set to a few kilohertz should be sufficient. See Equation 1, through Equation 4, for example filter design.

