SNVSAH6C June 2018 – May 2021 LM2775-Q1
PRODUCTION DATA
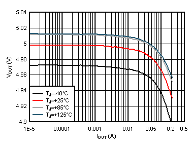
TJ = 25°C, VIN = 3.6 V, CIN = COUT = 10 µF (10-V 0402 case), C1 = 1 µF (10-V 0402 case), VEN = VIN.

| ILOAD = 200 mA | PFM = '0' | |

| VIN = 3.3 V | PFM = '0' |

| VIN = 2.7 V | PFM = '0' |

| EN = '0' | OUTDIS = '0' |

| ILOAD = 0 mA | PFM = '0' |

| ILOAD = 100 mA | PFM = '0' |

| VIN = 3.3 V | PFM = '1' |

| VIN = 3.6 V | ILOAD = 1 mA to 100 mA | PFM = '0' |

| VIN = 3.6 V | OUTDIS = '1' |

| ILOAD = 200 mA | PFM = '1' | |

| VIN = 3.3 V | PFM = '1' |

| EN = '0' |

| ILOAD = 0 mA | PFM = '1' |
Figure 6-10 Switching Frequency
| VIN = 3.3 V | PFM = '0' |

| VIN = 3.6 V | ILOAD = 1 mA to 100 mA | PFM = '1' |

| VIN = 3.6 V | OUTDIS = '0' | |

| VIN = 3.6 V | ILOAD = 100 mA |