SLUSAW0C March 2012 – July 2025 UCC28070 , UCC28070A
PRODUCTION DATA
Frequency dithering refers to modulating the switching frequency to achieve a reduction in conducted-EMI noise beyond the capability of the line filter alone. The UCC28070A implements a triangular modulation method which results in equal time spent at every point along the switching frequency range. This total range from minimum to maximum frequency is defined as the dither magnitude, and is centered around the nominal switching frequency fPWM set with RRT. For example, a dither magnitude of 20kHz on a nominal fPWM of 100kHz results in a frequency range of 100kHz ±10kHz. Furthermore, the programmed duty-cycle clamp set by RDMX remains constant at the programmed value across the entire range of the frequency dithering.
The rate at which fPWM traverses from one extreme to the other and back again is defined as the dither rate. For example, a dither rate of 1kHz would linearly modulate the nominal frequency from 110kHz to 90kHz to 110kHz once every millisecond. A good initial design target for dither magnitude is ±10% of fPWM. Most boost components can tolerate such a spread in fPWM. The designer can then iterate around there to find the best compromise between EMI reduction, component tolerances, and loop stability.
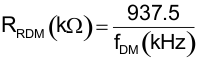
The desired dither magnitude is set by a resistor from the RDM pin to GND, of value calculated with Equation 5:

Once the value of RRDM is determined, the desired dither rate may be set by a capacitor from the CDR pin to GND, of value calculated with Equation 6:

Frequency dithering may be fully disabled by forcing the CDR pin > 5V or by connecting it to VREF (6V) and connecting the RDM pin directly to GND. (If populated, the relatively high impedance of the RDM resistor may allow system switching noise to couple in and interfere with the controller timing functions if not bypassed with a low impedance path when dithering is disabled.)
If an external frequency source is used to synchronize fPWM and frequency dithering is desired, the external frequency source must provide the dither magnitude and rate functions as the internal dither circuitry is disabled to prevent undesired performance during synchronization. (See External Clock Synchronization for more details.)