SLUS458I July 2000 – June 2024 UCC28C40 , UCC28C41 , UCC28C42 , UCC28C43 , UCC28C44 , UCC28C45 , UCC38C40 , UCC38C41 , UCC38C42 , UCC38C43 , UCC38C44 , UCC38C45
PRODUCTION DATA
Refer to the PDF data sheet for device specific package drawings
The design of the compensation loop involves selecting the appropriate components so that the required gain, poles, and zeros can be designed to result in a stable system over the entire operating range. There are three distinct portions of the loop: the TL431, the opto-coupler, and the error amplifier. Each of these stages combines with the power stage to result in a stable robust system.
For good transient response, the bandwidth of the finalized design must be as large as possible. The bandwidth of a CCM flyback, fBW, is limited to ¼ of the RHP zero frequency, or approximately 1.77kHz using Equation 41.

The gain of the open-loop power stage at fBW can be calculated using Equation 40 or can be observed on the Bode plot (Figure 8-4) and is equal to –19.55dB and the phase at fBW is equal to –58°.
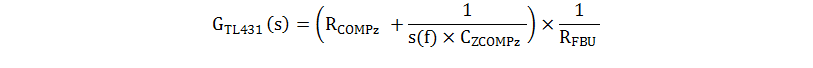
The secondary side portion of the compensation loop begins with establishing the regulated steady state output voltage. To set the regulated output voltage, a TL431 adjustable precision shunt regulator is ideally suited for use on the secondary side of isolated converters due to its accurate voltage reference and internal op-amp. The resistors used in the divider from the output terminals of the converter to the TL431 REF pin are selected based upon the desired power consumption. Because the REF input current for the TL431 is only 2µA, selecting the resistors for a divider current (IFB_REF) of 1mA results in minimal error. The top divider resistor (RFBU) is calculated:

The TL431 reference voltage (REFTL431) has a typical value of 2.495V. A 9.53kΩ resistor is chosen for RFBU. To set the output voltage to 12V, 2.49kΩ is used for RFBB.

For good phase margin, a compensator zero (fCOMPz) is required and should be placed at 1/10th the desired bandwidth:


With this converter, fCOMPz should be set at approximately 177Hz. A series resistor (RCOMPz) and capacitor (CCOMPz) placed across the TL431 cathode to REF sets the compensator zero location. Setting CCOMPz to 0.01µF, RCOMPz is calculated:

Using a standard value of 88.7kΩ for RZ and a 0.01µF for CZ results in a zero placed at 179Hz.
In Figure 8-3, RTLbias provides cathode current to the TL431 from the regulated voltage provided from the Zener diode (DREG). For robust performance, 10mA is provided to bias the TL431 by way of the 10V Zener and a 1kΩ resistor is used for RTLbias.
The gain of the TL431 portion of the compensation loop is calculated with Equation 47.

A compensation pole is required at the frequency of right half plane zero or the ESR zero, whichever is lowest. Based previous the analysis, the right half plane zero (fRHPz) is located at 7.07 kHz and the ESR zero (fESRz) is at 1.68 kHz; therefore, for this design, the compensation pole must be put at 1.68 kHz. The opto-coupler contains a parasitic pole that is difficult to characterize over frequency so the opto-coupler is set up with a pull-down resistor (ROPTO) equal to 1kΩ, which moves the parasitic opto-coupler pole further out and beyond the range of interest for this design.
The required compensation pole can be added to the primary side error amplifier using RCOMPp and CCOMPp. Choosing RCOMPp as 10kΩ, the required value of CCOMPp is determined using Equation 48.

A 10-nF capacitor is used for CCOMPp setting the compensation pole at 1.59 kHz.
Adding a DC gain to the primary-side error amplifier may be required to obtain the required bandwidth and helps to adjust the loop gain as needed. Using 4.99 kΩ for RFBG sets the DC gain on the error amplifier to 2. At this point the gain transfer function of the error amplifier stage (GEA(s)) of the compensation loop can be characterized using Equation 49.

Using an opto-coupler whose current transfer ratio (CTR) is typically at 100% in the frequency range of interest so that CTR = 1, the transfer function of the opto-coupler stage (GOPTO(s)) is found using Equation 50.

The bias resistor (RLED) to the internal diode of the opto-coupler and the pull-down resistor on the opto emitter (ROPTO) sets the gain across the isolation boundary. ROPTO has already been set to 1kΩ but the value of RLED has not yet been determined.
The total closed loop gain (GTOTAL(s)) is the combination of the open-loop power stage (Ho(s)), the opto gain (GOPTO(s)), the error amplifier gain (GEA(s)), and the gain of the TL431 stage (GTL431(s)), as shown in Equation 51.

The required value for RLED can be selected to achieve the desired crossover frequency (fBW). By setting the total loop gain equal to 1 at the desired crossover frequency and rearranging Equation 51, the optimal value for RLED can be determined, as shown in Equation 52.

A 1.3kΩ resistor suits the requirement for RLED.
Based on the compensation loop structure, the entire compensation loop transfer function is written as Equation 53.

The final closed-loop bode plots are show in Figure 8-6 and Figure 8-7. The converter achieves a crossover frequency of approximately 1.8kHz and has a phase margin of approximately 67°.
TI recommends checking the loop stability across all the corner cases including component tolerances to ensure system stability.
Figure 8-6 Converter Closed-Loop Bode Plot – Gain
Figure 8-7 Converter Closed-Loop Bode Plot – Phase