JAJSFP1G April   2016  – May 2019 DLP5531-Q1

PRODUCTION DATA.  

  1. 特長
  2. アプリケーション
  3. 概要
    1.     Device Images
      1.      DLP5531-Q1 DLPチップセットのシステム・ブロック図
  4. 改訂履歴
  5. Pin Configuration and Functions
    1.     Pin Functions – Connector Pins
    2.     Pin Functions – Test Pads
  6. Specifications
    1. 6.1  Absolute Maximum Ratings
    2. 6.2  Storage Conditions
    3. 6.3  ESD Ratings
    4. 6.4  Recommended Operating Conditions
    5. 6.5  Thermal Information
    6. 6.6  Electrical Characteristics
    7. 6.7  Timing Requirements
    8. 6.8  Switching Characteristics
    9. 6.9  System Mounting Interface Loads
    10. 6.10 Physical Characteristics of the Micromirror Array
    11. 6.11 Micromirror Array Optical Characteristics
    12. 6.12 Window Characteristics
    13. 6.13 Chipset Component Usage Specification
  7. Detailed Description
    1. 7.1 Overview
    2. 7.2 Functional Block Diagram
    3. 7.3 Feature Description
      1. 7.3.1 Sub-LVDS Data Interface
      2. 7.3.2 Low Speed Interface for Control
      3. 7.3.3 DMD Voltage Supplies
      4. 7.3.4 Asynchronous Reset
      5. 7.3.5 Temperature Sensing Diode
        1. 7.3.5.1 Temperature Sense Diode Theory
    4. 7.4 System Optical Considerations
      1. 7.4.1 Numerical Aperture and Stray Light Control
      2. 7.4.2 Pupil Match
      3. 7.4.3 Illumination Overfill
    5. 7.5 DMD Image Performance Specification
    6. 7.6 Micromirror Array Temperature Calculation
      1. 7.6.1 Temperature Rise Through the Package for Heatsink Design
      2. 7.6.2 Monitoring Array Temperature Using the Temperature Sense Diode
    7. 7.7 Micromirror Landed-On/Landed-Off Duty Cycle
      1. 7.7.1 Definition of Micromirror Landed-On/Landed-Off Duty Cycle
  8. Application and Implementation
    1. 8.1 Application Information
    2. 8.2 Typical Application
      1. 8.2.1 Application Overview
      2. 8.2.2 Reference Design
      3. 8.2.3 Application Mission Profile Consideration
  9. Power Supply Recommendations
    1. 9.1 Power Supply Power-Up Procedure
    2. 9.2 Power Supply Power-Down Procedure
    3. 9.3 Power Supply Sequencing Requirements
  10. 10Layout
    1. 10.1 Layout Guidelines
  11. 11デバイスおよびドキュメントのサポート
    1. 11.1 デバイス・サポート
      1. 11.1.1 デバイスの項目表記
      2. 11.1.2 デバイスのマーキング
    2. 11.2 関連リンク
    3. 11.3 コミュニティ・リソース
    4. 11.4 商標
    5. 11.5 静電気放電に関する注意事項
    6. 11.6 DMD の取り扱い
    7. 11.7 Glossary
  12. 12メカニカル、パッケージ、および注文情報

パッケージ・オプション

デバイスごとのパッケージ図は、PDF版データシートをご参照ください。

メカニカル・データ(パッケージ|ピン)
  • FYK|149
サーマルパッド・メカニカル・データ
発注情報

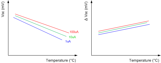
Temperature Sense Diode Theory

A temperature sensing diode is based on the fundamental current and temperature characteristics of a transistor. The diode is formed by connecting the transistor base to the collector. Three different known currents flow through the diode and the resulting diode voltage is measured in each case. The difference in their base–emitter voltages is proportional to the absolute temperature of the transistor.

Refer to the TMP411-Q1 data sheet for detailed information about temperature diode theory and measurement. Figure 17 and Figure 18 illustrate the relationships between the current and voltage through the diode.

DLP5531-Q1 sec_7_current_temp_sense_diode.gifFigure 17. Temperature Measurement Theory
DLP5531-Q1 sec_7_delta_vbe_example.gifFigure 18. Example of Delta VBE Versus Temperature