at TA = 25°C, VS = ±20V, VCM = VS / 2, RLOAD = 10 kΩ connected to VS / 2, and CL = 10pF (unless otherwise noted)

| Distribution
from 15526 amplifiers, TA =
25°C |
Figure 5-1 Offset Voltage Production Distribution
| VCM = V+ |
| Each color
represents one sample device. |
Figure 5-3 Offset Voltage vs Temperature
| TA = 25°C |
| Each color
represents one sample device. |
Figure 5-5 Offset Voltage vs Common-Mode Voltage
| TA = 125°C |
| Each color
represents one sample device. |
Figure 5-7 Offset Voltage vs Common-Mode Voltage
| VCM =
V– |
| Each color represents one sample
device. |
Figure 5-9 Offset Voltage vs Power Supply
Figure 5-11 Closed-Loop Gain vs Frequency
Figure 5-13 Input Bias Current vs Temperature
Figure 5-15 Output Voltage Swing vs Output Current (Sinking)
Figure 5-17 Output Voltage Swing vs Output Current (Sinking)
Figure 5-19 CMRR vs Temperature (dB)
Figure 5-21 0.1Hz to 10Hz Noise
Figure 5-23 THD+N Ratio vs Frequency
Figure 5-25 Quiescent Current vs Supply Voltage
Figure 5-27 Open-Loop Voltage Gain vs Temperature (dB)
Figure 5-29 Output Swing vs Supply Voltage, Positive Swing
Figure 5-31 Output Swing vs Supply Voltage, Positive
Swing
Figure 5-33 Small-Signal Overshoot vs Capacitive Load
Figure 5-35 Phase Margin vs Capacitive Load
Figure 5-37 Positive Overload Recovery
| CL = 20pF, G = 1, 20mV step response |
Figure 5-39 Small-Signal Step Response
Figure 5-41 Large-Signal Step Response (Falling)
Figure 5-43 Large-Signal Step Response
Figure 5-45 Maximum Output Voltage vs Frequency
Figure 5-47 EMIRR (Electromagnetic Interference Rejection Ratio) vs Frequency
| Distribution
from 190 amplifiers |
Figure 5-2 Offset Voltage Drift Distribution
| VCM = V– |
| Each color
represents one sample device. |
Figure 5-4 Offset Voltage vs Temperature
| TA = 25°C |
| Each color
represents one sample device. |
Figure 5-6 Offset Voltage vs Common-Mode Voltage (Transition
Region)
| TA = –40°C |
| Each color
represents one sample device. |
Figure 5-8 Offset Voltage vs Common-Mode Voltage
Figure 5-10 Open-Loop Gain and Phase vs Frequency
Figure 5-12 Input Bias Current vs Common-Mode Voltage
Figure 5-14 Output Voltage Swing vs Output Current (Sourcing)
Figure 5-16 Output Voltage Swing vs Output Current (Sourcing)
Figure 5-18 CMRR and PSRR vs Frequency
Figure 5-20 PSRR vs Temperature (dB)
Figure 5-22 Input Voltage Noise Spectral Density vs Frequency
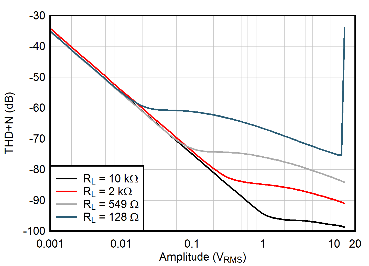
Figure 5-24 THD+N vs Output Amplitude
Figure 5-26 Quiescent Current vs Temperature
Figure 5-28 Open-Loop Output Impedance vs Frequency
Figure 5-30 Output Swing vs Supply Voltage, Negative Swing
Figure 5-32 Output Swing vs Supply Voltage, Negative Swing
Figure 5-34 Small-Signal Overshoot vs Capacitive Load
| VIN = ±20V; VS = VOUT = ±17V |
Figure 5-36 No Phase Reversal
Figure 5-38 Negative Overload Recovery
| CL = 20pF, G = –1, 20mV step response |
Figure 5-40 Small-Signal Step Response
Figure 5-42 Large-Signal Step Response (Rising)
Figure 5-44 Short-Circuit Current vs Temperature
Figure 5-46 Channel Separation vs Frequency