SBAS761A February   2020  – February 2020 ADS8355

PRODUCTION DATA.  

  1. Features
  2. Applications
  3. Description
    1.     Device Images
      1.      Typical Block Diagram
  4. Revision History
  5. Pin Configuration and Functions
    1.     Pin Functions
  6. Specifications
    1. 6.1      Absolute Maximum Ratings
    2. 6.2      ESD Ratings
    3. 6.3      Recommended Operating Conditions
    4. 6.4      Thermal Information
    5. 6.5      Electrical Characteristics
    6. Table 1. Timing Requirements
    7. Table 2. Switching Characteristics
    8. 6.6      Typical Characteristics
  7. Detailed Description
    1. 7.1 Overview
    2. 7.2 Functional Block Diagram
    3. 7.3 Feature Description
      1. 7.3.1 Reference
      2. 7.3.2 Analog Inputs
        1. 7.3.2.1 Analog Input: Full-Scale Range Selection
        2. 7.3.2.2 Analog Input: Single-Ended and Pseudo-Differential Configurations
      3. 7.3.3 Transfer Function
    4. 7.4 Device Functional Modes
      1. 7.4.1 Conversion Data Read: Dual-SDO Mode (Default)
      2. 7.4.2 Conversion Data Read: Single-SDO Mode
      3. 7.4.3 Low-Power Modes
        1. 7.4.3.1 STANDBY Mode
        2. 7.4.3.2 PD (Power-Down) Mode
    5. 7.5 Programming
      1. 7.5.1 Register Read/Write Operation
    6. 7.6 Register Map
      1. 7.6.1 ADS8355 Registers
        1. 7.6.1.1  PD_STANDBY Register (Offset = 4h) [reset = 0h]
          1. Table 9. PD_STANDBY Register Field Descriptions
        2. 7.6.1.2  PD_KEY Register (Offset = 5h) [reset = 0h]
          1. Table 10. PD_KEY Register Field Descriptions
        3. 7.6.1.3  SDO_CTRL Register (Offset = Dh) [reset = 0h]
          1. Table 11. SDO_CTRL Register Field Descriptions
        4. 7.6.1.4  DATA_OUT_CTRL Register (Offset = 11h) [reset = 0h]
          1. Table 12. DATA_OUT_CTRL Register Field Descriptions
        5. 7.6.1.5  REF_SEL Register (Offset = 20h) [reset = 0h]
          1. Table 13. REF_SEL Register Field Descriptions
        6. 7.6.1.6  REFDAC_A_LSB Register (Offset = 24h) [reset = 0h]
          1. Table 14. REFDAC_A_LSB Register Field Descriptions
        7. 7.6.1.7  REFDAC_A_MSB Register (Offset = 25h) [reset = 0h]
          1. Table 15. REFDAC_A_MSB Register Field Descriptions
        8. 7.6.1.8  REFDAC_B_LSB Register (Offset = 26h) [reset = 0h]
          1. Table 16. REFDAC_B_LSB Register Field Descriptions
        9. 7.6.1.9  REFDAC_B_MSB Register (Offset = 27h) [reset = 0h]
          1. Table 17. REFDAC_B_MSB Register Field Descriptions
        10. 7.6.1.10 INPUT_CONFIG Register (Offset = 28h) [reset = 0h]
          1. Table 18. INPUT_CONFIG Register Field Descriptions
  8. Application and Implementation
    1. 8.1 Application Information
      1. 8.1.1 Input Amplifier Selection
      2. 8.1.2 Charge Kickback Filter
    2. 8.2 Typical Application
      1. 8.2.1 Design Requirements
      2. 8.2.2 Detailed Design Procedure
      3. 8.2.3 Application Curve
  9. Power Supply Recommendations
  10. 10Layout
    1. 10.1 Layout Guidelines
    2. 10.2 Layout Example
  11. 11Device and Documentation Support
    1. 11.1 Device Support
      1. 11.1.1 Development Support
    2. 11.2 Documentation Support
      1. 11.2.1 Related Documentation
    3. 11.3 Receiving Notification of Documentation Updates
    4. 11.4 Community Resources
    5. 11.5 Trademarks
    6. 11.6 Electrostatic Discharge Caution
    7. 11.7 Glossary
  12. 12Mechanical, Packaging, and Orderable Information

Package Options

Mechanical Data (Package|Pins)
Thermal pad, mechanical data (Package|Pins)
Orderable Information

Input Amplifier Selection

Selection criteria for the input amplifiers is highly dependent on the input signal type and the performance goals of the data acquisition system. Some key amplifier specifications to consider when selecting an appropriate amplifier to drive the inputs of the ADC are:

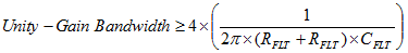
  • Small-signal bandwidth. Select the small-signal bandwidth of the input amplifiers to be as high as possible after meeting the power budget of the system. Higher bandwidth reduces the closed-loop output impedance of the amplifier, thus allowing the amplifier to more easily drive the low cutoff frequency RC filter at the ADC inputs. Higher bandwidth also minimizes the harmonic distortion at higher input frequencies. Select the amplifier bandwidth as described in Equation 6 to maintain the overall stability of the input driver circuit:
  • Equation 6. ADS8355 apps_eqn_ugb_bas547.gif
  • Noise. Noise contribution of the front-end amplifiers must be as low as possible to prevent any degradation in SNR performance of the system. As a rule of thumb, to ensure that the noise performance of the data acquisition system is not limited by the front-end circuit, keep the total noise contribution from the front-end circuit below 20% of the input-referred noise of the ADC. Equation 7 calculates noise from the input driver circuit. This noise is band-limited by designing a low cutoff frequency RC filter:
  • Equation 7. ADS8355 apps_eqn_noise_bas547.gif

    where

    • V1/f_AMP_PP = the peak-to-peak flicker noise in µV
    • en_RMS = the amplifier broadband noise density in nV/√Hz
    • f–3dB = the 3-dB bandwidth of the RC filter
    • NG = the noise gain of the front-end circuit, which is equal to 1 in a buffer configuration
  • Distortion. Both the ADC and the input driver introduce nonlinearity in a data acquisition block. As a rule of thumb, the distortion of the input driver must be at least 10 dB lower than the distortion of the ADC, as shown in Equation 8, to ensure that the distortion performance of the data acquisition system is not limited by the front-end circuit.
  • Equation 8. ADS8355 apps_eqn_thd_bas547.gif
  • Settling Time. For DC signals with fast transients that are common in a multiplexed application, the input signal must settle to the desired accuracy at the inputs of the ADC during the acquisition time window. This condition is critical to maintain the overall linearity performance of the ADC. Typically, the amplifier data sheets specify the output settling performance only up to 0.1% to 0.001%, which may not be sufficient for the desired accuracy. Therefore, always verify the settling behavior of the input driver with TINA™-SPICE simulations before selecting the amplifier.