SLUS161G April 1999 – April 2025 UCC2813-0 , UCC2813-1 , UCC2813-2 , UCC2813-3 , UCC2813-4 , UCC2813-5 , UCC3813-0 , UCC3813-1 , UCC3813-2 , UCC3813-3 , UCC3813-4 , UCC3813-5
PRODUCTION DATA
Refer to the PDF data sheet for device specific package drawings
The peak current of the MOSFET is calculated by Equation 10.

The MOSFET peak current is 1.425 A.
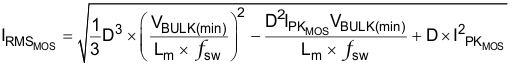
The RMS current of the MOSFET can be calculated as Equation 11.

where

The MOSFET RMS current is 0.75 A. With less than 0.9-Ω on-resistance, IRFB9N65A is selected as the primary-side MOSFET.
The diode peak current is the reflected MOSFET peak current on the secondary side.

The diode voltage stress is the output voltage plus the reflected input voltage. The voltage stress on the diode can be calculated by Equation 14.

Considering the ringing voltage spikes and voltage derating, the diode voltage rating must be higher than 50 V.
The diode average current is the output current (4 A), so 48CTQ060-1, with 60-V rating and 40-A average current capability, is selected.