SLUSC61A January 2015 – December 2020 UCC28700-Q1
PRODUCTION DATA
The transformer turns ratio selected affects the MOSFET VDS and secondary rectifier reverse voltage so these should be reviewed. The UCC28700-Q1 controller requires a minimum on time of the MOSFET (TON) and minimum DMAG time (TDMAG) of the secondary rectifier in the high line, minimum load condition. The selection of FMAX, LP and RCS affects the minimum TON and TDMAG.
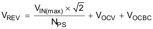
The secondary rectifier and MOSFET voltage stress can be determined by the equations below.

For the MOSFET VDS voltage stress, an estimated leakage inductance voltage spike (VLK) needs to be included.

The following equations are used to determine if the minimum TON target of 300 ns and minimum TDMAG target of 1.1 µs is achieved.

