JAJSV14D September 2008 – August 2024 UCC25600
PRODUCTION DATA
スタートアップおよびフォルト回復条件中は、過剰な共振タンク電流を防止し、ゼロ電圧スイッチング (ZVS) を保証するために、ソフト スタートが常に実装されています。ソフト スタート中は、スイッチング周波数が上昇します。ソフト スタート時間は、SS ピンとグランドの間にコンデンサを接続することでプログラムできます。
ソフト スタート ピンは、デバイスのオン / オフ制御ピンとしても機能します。SS ピンをアクティブに 1V 未満にプルすると、デバイスはディセーブルされます。プルダウンを除去すると、内部充電電流により SS ピンの電圧が上昇します。SS ピンが 1.2V を超えると、デバイスはゲート ドライバ信号の生成を開始し、ソフト スタート モードに移行します。ソフト スタートの時間シーケンスを 図 7-1 に示します。
図 7-1 ソフト スタート シーケンスON コマンドからゲート ドライバ信号が現れるまでに長い遅延が生じないように、SS ピンの電流を 2 つの異なるレベルに設定します。SS ピンの電圧が 1.2V より低い場合、SS ピンの出力電流は 175μA です。この大電流により、ソフト スタート ピンのコンデンサが短時間で 1.2V まで充電され、時間遅延が短縮されます。この時間遅延は、次の式で計算できます。

ソフト スタート時のスイッチング周波数は、RT ピンから流れ出る電流と SS ピンの電圧の両方によって決定されます。スイッチング周波数は、次の式に基づいて計算できます。

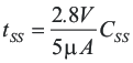
SS ピンの電圧が 4V に達すると、ソフト スタート期間が終了し、スイッチング周波数は RT ピンの電流の要求と同じになります。SS ピンを 1.2V~4V で充電するのに要する時間は、ソフト スタート時間として定義され、次のように計算できます。

信頼性の高い動作を保証するため、GD2 が High になった状態でゲート ドライバが再起動します。これにより、システム起動時の不確定性を防止できます。