TIDUES0E June   2019  – April 2024 TMS320F28P550SG , TMS320F28P550SJ , TMS320F28P559SG-Q1 , TMS320F28P559SJ-Q1

 

  1.   1
  2.   Description
  3.   Resources
  4.   Features
  5.   Applications
  6.   6
  7. 1System Description
    1. 1.1 Key System Specifications
  8. 2System Overview
    1. 2.1 Block Diagram
    2. 2.2 Highlighted Products
      1. 2.2.1  UCC21710
      2. 2.2.2  UCC14141-Q1
      3. 2.2.3  AMC1311
      4. 2.2.4  AMC1302
      5. 2.2.5  OPA320
      6. 2.2.6  AMC1306M05
      7. 2.2.7  AMC1336
      8. 2.2.8  TMCS1133
      9. 2.2.9  TMS320F280039C
      10. 2.2.10 TLVM13620
      11. 2.2.11 ISOW1044
      12. 2.2.12 TPS2640
    3. 2.3 System Design Theory
      1. 2.3.1 Dual Active Bridge Analogy With Power Systems
      2. 2.3.2 Dual-Active Bridge – Switching Sequence
      3. 2.3.3 Dual-Active Bridge – Zero Voltage Switching (ZVS)
      4. 2.3.4 Dual-Active Bridge - Design Considerations
        1. 2.3.4.1 Leakage Inductor
        2. 2.3.4.2 Soft Switching Range
        3. 2.3.4.3 Effect of Inductance on Current
        4. 2.3.4.4 Phase Shift
        5. 2.3.4.5 Capacitor Selection
          1. 2.3.4.5.1 DC-Blocking Capacitors
        6. 2.3.4.6 Switching Frequency
        7. 2.3.4.7 Transformer Selection
        8. 2.3.4.8 SiC MOSFET Selection
      5. 2.3.5 Loss Analysis
        1. 2.3.5.1 SiC MOSFET and Diode Losses
        2. 2.3.5.2 Transformer Losses
        3. 2.3.5.3 Inductor Losses
        4. 2.3.5.4 Gate Driver Losses
        5. 2.3.5.5 Efficiency
        6. 2.3.5.6 Thermal Considerations
  9. 3Circuit Description
    1. 3.1 Power Stage
    2. 3.2 DC Voltage Sensing
      1. 3.2.1 Primary DC Voltage Sensing
      2. 3.2.2 Secondary DC Voltage Sensing
        1. 3.2.2.1 Secondary Side Battery Voltage Sensing
    3. 3.3 Current Sensing
    4. 3.4 Power Architecture
      1. 3.4.1 Auxiliary Power Supply
      2. 3.4.2 Gate Driver Bias Power Supply
      3. 3.4.3 Isolated Power Supply for Sense Circuits
    5. 3.5 Gate Driver Circuit
    6. 3.6 Additional Circuitry
    7. 3.7 Simulation
      1. 3.7.1 Setup
      2. 3.7.2 Running Simulations
  10. 4Hardware, Software, Testing Requirements, and Test Results
    1. 4.1 Required Hardware and Software
      1. 4.1.1 Hardware
      2. 4.1.2 Software
        1. 4.1.2.1 Getting Started With Software
        2. 4.1.2.2 Pin Configuration
        3. 4.1.2.3 PWM Configuration
        4. 4.1.2.4 High-Resolution Phase Shift Configuration
        5. 4.1.2.5 ADC Configuration
        6. 4.1.2.6 ISR Structure
    2. 4.2 Test Setup
    3. 4.3 PowerSUITE GUI
    4. 4.4 LABs
      1. 4.4.1 Lab 1
      2. 4.4.2 Lab 2
      3. 4.4.3 Lab 3
      4. 4.4.4 Lab 4
      5. 4.4.5 Lab 5
      6. 4.4.6 Lab 6
      7. 4.4.7 Lab 7
    5. 4.5 Test Results
      1. 4.5.1 Closed-Loop Performance
  11. 5Design Files
    1. 5.1 Schematics
    2. 5.2 Bill of Materials
    3. 5.3 Altium Project
    4. 5.4 Gerber Files
    5. 5.5 Assembly Drawings
  12. 6Related Documentation
    1. 6.1 Trademarks
  13. 7Terminology
  14. 8About the Author
  15. 9Revision History

Dual-Active Bridge – Switching Sequence

In a single-phase, dual-active bridge, primary and secondary bridges are controlled simultaneously. All switches operate at 50% duty ratio. The diagonal switches turn on and turn off together so that the output of each bridge is a square wave. The switching sequence of the converter is elaborated in detail in this section. For simplification the transformer is assumed with a windings ratio n = 1:1 and can be removed, for the description of the switching sequence.

The switching sequence is divided into four intervals based on the inductor current waveform and phase shift between the voltages at the primary and secondary of the transformer. The voltage and the current waveforms are depicted in Figure 2-10. During interval one, the inductor current waveform is both positive and negative, and hence, the current commutation follows the scheme shown in Figure 2-4 and Figure 2-5. During this interval, switches Q1 and Q4 in the primary and switches Q6 and Q7 in the secondary conduct current.

TIDA-010054 Interval 1: Negative Inductor
                    Current Figure 2-4 Interval 1: Negative Inductor Current
TIDA-010054 Interval 1: Positive Inductor
                    Current Figure 2-5 Interval 1: Positive Inductor Current

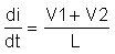
During this interval, the voltage across the primary, Vp, is equal to V1, and the voltage across the secondary, Vs, is equal to V2. The difference between these voltages appears across the leakage inductor, and the slope of the current during this interval can be approximated by Equation 2.

Equation 2. TIDA-010054

During interval two, the inductor current is positive. The voltage across the transformer primary is positive and is equal to V1, and the voltage across the secondary winding is positive and is equal to V2. Hence, the difference of these two voltages appears across the leakage inductor, and the slope of the rising current during this interval can be calculated by Equation 3.

Equation 3. TIDA-010054

During this interval, switches Q1 and Q4 remain turned on, but as the voltage across the secondary is now V2 with the inductor current positive, switches Q5 and Q8 turn on to conduct current. There is a small dead time period between the turn off of Q6 and Q7 and the turn on of Q5 and Q8. During this dead time, the phenomenon of zero voltage switching (ZVS) occurs, which is explained in detail in the following section. The commutation sequence for the second interval is shown in Figure 2-6.

TIDA-010054 Interval 2 Figure 2-6 Interval 2

During interval three, the inductor current starts ramping down from the positive peak to a negative value as shown in Figure 2-10. In this interval, the voltage across the primary is –V1, and the voltage across the secondary is V2. The difference of these voltages, which is (-V1-V2), appears across the inductor. Hence, the current ramps down with a negative slope as shown in Equation 4.

Equation 4. TIDA-010054

During this interval, switches Q5 and Q8 continue to remain turned on, but as the voltage across the primary is now –V1, switches Q2 and Q3 turn on to conduct current. The conduction for both directions of inductor current IL > 0 and IL < 0 is shown in Figure 2-7 and Figure 2-8, respectively.

TIDA-010054 Interval 3: Positive Inductor
                    Current Figure 2-7 Interval 3: Positive Inductor Current
TIDA-010054 Interval 3: Negative Inductor
                    Current Figure 2-8 Interval 3: Negative Inductor Current

During interval four, the inductor current continues to be negative. During this interval, the voltage across the primary is –V1 and, and the voltage across the secondary is -V2. The difference in these voltages, which is (-V1+V2), appears across the inductor. Hence, the current ramps down with a negative slope as shown in Equation 5.

Equation 5. TIDA-010054

During this interval, switches Q2 and Q3 continue to remain turned on, but as the voltage across the secondary are now –V2, switches Q6 and Q7 turn on to conduct current as shown in Figure 2-9.

TIDA-010054 Interval 4 Figure 2-9 Interval 4

Figure 2-10 shows the gating pulses of the switches on the primary and secondary side. The variable Ø represents the phase shift between the PWM pulses of the primary and secondary side. Vp and Vs represent the voltage on the primary and secondary winding of the transformer. IL represents the transformer current.

TIDA-010054 Gate Signals, Transformer
                    Primary and Secondary Voltages, and Inductor Current Figure 2-10 Gate Signals, Transformer Primary and Secondary Voltages, and Inductor Current