SCPS193D July   2010  – January 2023 TCA6424A

PRODUCTION DATA  

  1. Features
  2. Description
  3. Revision History
  4. Description (continued)
  5. Pin Configuration and Functions
  6. Specifications
    1. 6.1 Absolute Maximum Ratings (1)
    2. 6.2 ESD Ratings
    3. 6.3 Recommended Operating Conditions
    4. 6.4 Thermal Information
    5. 6.5 Electrical Characteristics
    6. 6.6 I2C Interface Timing Requirements
    7. 6.7 Reset Timing Requirements
    8. 6.8 Switching Characteristics
    9. 6.9 Typical Characteristics
  7. Parameter Measurement Information
  8. Detailed Description
    1. 8.1 Overview
      1. 8.1.1 Voltage Translation
    2. 8.2 Functional Block Diagram
    3. 8.3 Feature Description
      1. 8.3.1 I/O Port
      2. 8.3.2 I2C Interface
    4. 8.4 Device Functional Modes
      1. 8.4.1 Device Address
    5. 8.5 Programming
      1. 8.5.1 Power-On Reset
      2. 8.5.2 Reset Input ( RESET)
      3. 8.5.3 Interrupt Output ( INT)
      4. 8.5.4 Bus Transactions
        1. 8.5.4.1 Writes
        2. 8.5.4.2 Reads
    6. 8.6 Register Maps
      1. 8.6.1 Control Register and Command Byte
      2. 8.6.2 Register Descriptions
  9. Application and Implementation
    1. 9.1 Typical Application
      1. 9.1.1 Detailed Design Procedure
        1. 9.1.1.1 Minimizing ICC When I/Os Control LEDs
    2. 9.2 Power Supply Recommendation
  10. 10Device and Documentation Support
    1. 10.1 Receiving Notification of Documentation Updates
    2. 10.2 Support Resources
    3. 10.3 Trademarks
    4. 10.4 Electrostatic Discharge Caution
    5. 10.5 Glossary
      1.      Mechanical, Packaging, and Orderable Information

Package Options

Mechanical Data (Package|Pins)
Thermal pad, mechanical data (Package|Pins)
Orderable Information

Typical Characteristics

TA = 25°C (unless otherwise noted)

GUID-9D770032-57D3-4D2E-8323-BF589302E87D-low.gifFigure 6-1 Supply Current vs Temperature
GUID-8E948825-1B3B-4DDD-A56C-54608E0773E9-low.gifFigure 6-3 Supply Current vs Supply Voltage
GUID-3AC8D23D-1284-4087-874B-A86C014A67C2-low.gifFigure 6-5 I/O Sink Current vs Output Low Voltage
GUID-8D15445C-E833-4212-A482-F427B0B758A6-low.gifFigure 6-7 I/O Sink Current vs Output Low Voltage
GUID-6C0BEAF2-B607-440E-8C0B-DA4D21816138-low.gifFigure 6-9 I/O Source Current vs Output High Voltage
GUID-55C2227B-1800-4F49-B98E-C5B0C1824656-low.gifFigure 6-11 I/O Source Current vs Output High Voltage
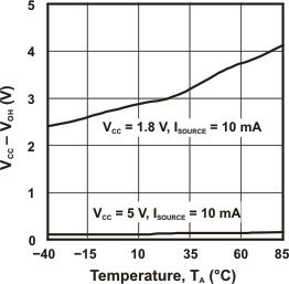
GUID-85E76D78-EAC0-4965-A753-98312E3C0984-low.gifFigure 6-13 I/O High Voltage vs Temperature
GUID-2A58AF0E-36E3-46FC-86FD-090E6DE6FF8D-low.gifFigure 6-2 Standby Supply Current vs Temperature
GUID-19EE59AD-8A9A-492C-BE45-40812A83B378-low.gifFigure 6-4 I/O Sink Current vs Output Low Voltage
GUID-FB5BA54C-41A1-40CA-9BAD-96E89F405C83-low.gifFigure 6-6 I/O Sink Current vs Output Low Voltage
GUID-6FB34EE4-7399-4D56-B17C-0EF4189EFC63-low.gifFigure 6-8 I/O Low Voltage vs Temperature
GUID-D4C02485-57FD-4873-9D68-1B769C47F71E-low.gifFigure 6-10 I/O Source Current vs Output High Voltage
GUID-298C5ECD-C39B-4FEF-8EE9-300BF2550509-low.gifFigure 6-12 I/O Source Current vs Output High Voltage