SNVSBL7A March 2020 – August 2020 LM25184
PRODUCTION DATA
Set the turns ratio of the transformer secondary windings using Equation 33, where NS1 and NS2 are the number of secondary turns for the respective outputs.

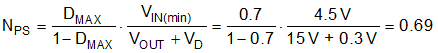
Choose a primary-secondary turns ratio for a 15-V output based on an approximate 70% max duty cycle at minimum input voltage using Equation 34. The transformer turns ratio when considering both outputs is thus specified as 1 : 1.5 : 0.8.

Select a magnetizing inductance based on the minimum off-time constraint using Equation 35. Choose a value of 7 µH and a saturation current of 5 A for this application.

Find the maximum output current for a given turns ratio, assuming the outputs are symmetrically loaded, using Equation 36.
