SLUSAO7C September 2011 – July 2024 UCC28063
PRODUCTION DATA
The HVSEN pin programs the PWMCNTL output of the UCC28063. The PWMCNTL open-drain output can be used to disable a downstream converter while the PFC output capacitor is charging. PWMCNTL starts high impedance and pulls to ground when HVSEN increases above 2.5 V. Setting the point where PWMCNTL becomes active requires a voltage divider from the boost voltage to the HVSEN pin to ground. Equation 25 to Equation 30 show how to set the PWMCNTL pin to activate when the output voltage is within 90% of its nominal value.

Resistor RE sets up the high side of the voltage divider and programs the hysteresis of the PWMCNTL signal. For this example, RE was selected to provide 99 V of hysteresis, as shown in Equation 26. Three resistors in series were used to meet voltage requirements.

Resistor RF is used to program the PWMCNTL active threshold, as shown in Equation 27.

Select a standard resistor value for RF.

This PWMCNTL output will remain active until a minimum output voltage (VOUT_MIN) is reached, as shown in Equation 29.

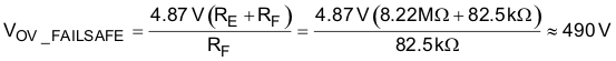
According to these resistor values, the FailSafe OVP threshold will be set according to Equation 30
