SLUU885C March 2012 – June 2024 UCD3138 , UCD3138064 , UCD3138064A , UCD3138128 , UCD3138A , UCD3138A64
The current loop PID coefficients can be re-tuned following the approaches described in section 1.4. Scroll down the window that is shown in Figure 12-13, then Figure 14-5 is obtained.
Figure 12-13 shows the current loop compensation details. There are two sets of PID coefficients used in the current control loop, Set A and Set B. In Figure 14-5 Set A is shown. The corresponding bode plots are shown on the left in Figure 14-5.
Coefficients of Set A are used when input line voltage is between 90 VAC and 160 VAC. Coefficients of Set B are used when input line voltage is above 160 VAC till the maximum input of 264 VAC.
The actual PID control makes re-scale of the values shown in Figure 14-5 when used inside the UCD3138.

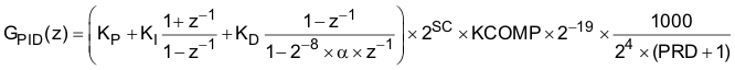
PRD is a threshold value used to generate DPWM cycle ending point. The DPWM is centered on a period counter which counts up from 0 to PRD, and then is reset and starts over again. In the single-phase PFC design, KCOMP is set up equal to PRD.
In the current control page of the Design, PID coefficients can be re-tuned. The GUI also provides conversion results from PID coefficients to the zeros and the pole by clicking Mode to select a corresponding conversion. One can also change the zeros and the poles and then use the GUI to convert to PID coefficients by clicking Mode to select back to KP, KI, and KD. Be aware that from the two zeros can be complex conjugates. When a set of PID coefficients does make complex conjugate zeros, the GUI pumps up a message to notify that Q and ωr have to be generated instead of real zeros. In this case, the users may need to calculate the complex conjugate zeros based on Equation 6.
Figure 14-5 Current Loop Re-Tuning