SWRS226C February   2020  – December 2024 CC3230S , CC3230SF

PRODUCTION DATA  

  1.   1
  2. Features
  3. Applications
  4. Description
  5. Functional Block Diagrams
  6. Device Comparison
    1. 5.1 Related Products
  7. Terminal Configuration and Functions
    1. 6.1 Pin Diagram
    2. 6.2 Pin Attributes
      1. 6.2.1 Pin Descriptions
    3. 6.3 Signal Descriptions
      1.      13
    4. 6.4 Pin Multiplexing
    5. 6.5 Drive Strength and Reset States for Analog and Digital Multiplexed Pins
    6. 6.6 Pad State After Application of Power to Device, Before Reset Release
    7. 6.7 Connections for Unused Pins
  8. Specifications
    1. 7.1  Absolute Maximum Ratings
    2. 7.2  ESD Ratings
    3. 7.3  Power-On Hours (POH)
    4. 7.4  Recommended Operating Conditions
    5. 7.5  Current Consumption Summary (CC3230S)
      1.      24
    6. 7.6  Current Consumption Summary (CC3230SF)
      1.      26
    7. 7.7  TX Power Control
    8. 7.8  Brownout and Blackout Conditions
    9. 7.9  Electrical Characteristics for GPIO Pins
      1. 7.9.1 Electrical Characteristics: GPIO Pins Except 29, 30, 50, 52, and 53
      2. 7.9.2 Electrical Characteristics: GPIO Pins 29, 30, 50, 52, and 53
    10. 7.10 Electrical Characteristics for Pin Internal Pullup and Pulldown
      1.      33
    11. 7.11 WLAN Receiver Characteristics
      1.      35
    12. 7.12 WLAN Transmitter Characteristics
      1.      37
    13. 7.13 WLAN Transmitter Out-of-Band Emissions
      1. 7.13.1 WLAN Filter Requirements
    14. 7.14 BLE/2.4 GHz Radio Coexistence and WLAN Coexistence Requirements
    15. 7.15 Thermal Resistance Characteristics for RGK Package
    16. 7.16 Timing and Switching Characteristics
      1. 7.16.1 Power Supply Sequencing
      2. 7.16.2 Device Reset
      3. 7.16.3 Reset Timing
        1. 7.16.3.1 nRESET (32-kHz Crystal)
        2. 7.16.3.2 First-Time Power-Up and Reset Removal Timing Requirements (32-kHz Crystal)
        3. 7.16.3.3 nRESET (External 32-kHz Clock)
          1. 7.16.3.3.1 First-Time Power-Up and Reset Removal Timing Requirements (External 32-kHz Clock)
      4. 7.16.4 Wakeup From HIBERNATE Mode
      5. 7.16.5 Clock Specifications
        1. 7.16.5.1 Slow Clock Using Internal Oscillator
        2. 7.16.5.2 Slow Clock Using an External Clock
          1. 7.16.5.2.1 External RTC Digital Clock Requirements
        3. 7.16.5.3 Fast Clock (Fref) Using an External Crystal
          1. 7.16.5.3.1 WLAN Fast-Clock Crystal Requirements
        4. 7.16.5.4 Fast Clock (Fref) Using an External Oscillator
          1. 7.16.5.4.1 External Fref Clock Requirements (–40°C to +85°C)
      6. 7.16.6 Peripherals Timing
        1. 7.16.6.1  SPI
          1. 7.16.6.1.1 SPI Master
            1. 7.16.6.1.1.1 SPI Master Timing Parameters
          2. 7.16.6.1.2 SPI Slave
            1. 7.16.6.1.2.1 SPI Slave Timing Parameters
        2. 7.16.6.2  I2S
          1. 7.16.6.2.1 I2S Transmit Mode
            1. 7.16.6.2.1.1 I2S Transmit Mode Timing Parameters
          2. 7.16.6.2.2 I2S Receive Mode
            1. 7.16.6.2.2.1 I2S Receive Mode Timing Parameters
        3. 7.16.6.3  GPIOs
          1. 7.16.6.3.1 GPIO Output Transition Time Parameters (Vsupply = 3.3 V)
            1. 7.16.6.3.1.1 GPIO Output Transition Times (Vsupply = 3.3 V) #GUID-761098ED-1DAD-4953-A730-5C228F39851B/SWAS03298470_ #GUID-761098ED-1DAD-4953-A730-5C228F39851B/SWAS0326310_
          2. 7.16.6.3.2 GPIO Input Transition Time Parameters
            1. 7.16.6.3.2.1 GPIO Input Transition Time Parameters
        4. 7.16.6.4  I2C
          1. 7.16.6.4.1 I2C Timing Parameters #GUID-45C79838-2E6C-4512-90E1-ED14EE3F93C2/SWAS0313060
        5. 7.16.6.5  IEEE 1149.1 JTAG
          1. 7.16.6.5.1 JTAG Timing Parameters
        6. 7.16.6.6  ADC
          1. 7.16.6.6.1 ADC Electrical Specifications
        7. 7.16.6.7  Camera Parallel Port
          1. 7.16.6.7.1 Camera Parallel Port Timing Parameters
        8. 7.16.6.8  UART
        9. 7.16.6.9  SD Host
        10. 7.16.6.10 Timers
  9. Detailed Description
    1. 8.1  Overview
    2. 8.2  Arm® Cortex®-M4 Processor Core Subsystem
    3. 8.3  Wi-Fi® Network Processor Subsystem
      1. 8.3.1 WLAN
      2. 8.3.2 Network Stack
    4. 8.4  Security
    5. 8.5  Power-Management Subsystem
    6. 8.6  Low-Power Operating Mode
    7. 8.7  Memory
      1. 8.7.1 External Memory Requirements
      2. 8.7.2 Internal Memory
        1. 8.7.2.1 SRAM
        2. 8.7.2.2 ROM
        3. 8.7.2.3 Flash Memory
        4. 8.7.2.4 Memory Map
    8. 8.8  Restoring Factory Default Configuration
    9. 8.9  Boot Modes
      1. 8.9.1 Boot Mode List
    10. 8.10 Hostless Mode
  10. Applications, Implementation, and Layout
    1. 9.1 Application Information
      1. 9.1.1 BLE/2.4 GHz Radio Coexistence
      2. 9.1.2 Antenna Selection
      3. 9.1.3 Typical Application
    2. 9.2 PCB Layout Guidelines
      1. 9.2.1 General PCB Guidelines
      2. 9.2.2 Power Layout and Routing
        1. 9.2.2.1 Design Considerations
      3. 9.2.3 Clock Interface Guidelines
      4. 9.2.4 Digital Input and Output Guidelines
      5. 9.2.5 RF Interface Guidelines
  11. 10Device and Documentation Support
    1. 10.1 Third-Party Products Disclaimer
    2. 10.2 Tools and Software
    3. 10.3 Firmware Updates
    4. 10.4 Device Nomenclature
    5. 10.5 Documentation Support
    6. 10.6 Support Resources
    7. 10.7 Trademarks
    8. 10.8 Electrostatic Discharge Caution
    9. 10.9 Glossary
  12. 11Revision History
  13. 12Mechanical, Packaging, and Orderable Information
    1. 12.1 Package Option Addendum
      1. 12.1.1 Packaging Information
      2. 12.1.2 Tape and Reel Information

Package Options

Mechanical Data (Package|Pins)
Thermal pad, mechanical data (Package|Pins)
Orderable Information

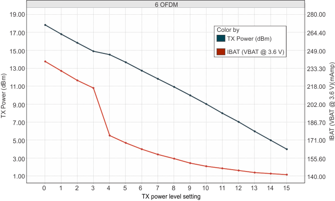
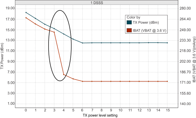
TX Power Control

The CC3230x has several options for modifying the output power of the device when required. It is possible to lower the overall output power at a global level using the global TX power level setting. In addition, the 2.4GHz band allows the user to enter additional back-offs (1), per channel, region (2)and modulation rates (3), and through Image creator (see the UniFlash CC3x20, CC3x35 SimpleLink™ Wi-Fi® and Internet-on-a chip™ Solution ImageCreator and Programming Tool User's Guide for more details).

Figure 7-1, Figure 7-2, and Figure 7-3 show TX power and IBAT versus TX power level settings for the CC3230S device at modulations of 1 DSSS, 6 OFDM, and 54 OFDM, respectively. For the CC3230SF device, the IBAT current has an increase of approximately 10mA to 15mA depending on the transmitted rate. The TX power level will remain the same.

In Figure 7-1, the area enclosed in the circle represents a significant reduction in current during the transition from TX power level 3 to level 4. In the case of lower range requirements (14dBm output power), TI recommends using TX power level 4 to reduce the current.

CC3230S CC3230SF TX Power and IBAT vs TX Power Level Settings (1 DSSS)Figure 7-1 TX Power and IBAT vs TX Power Level Settings (1 DSSS)

 

 

CC3230S CC3230SF TX Power and IBAT vs TX Power Level Settings (6 OFDM)Figure 7-2 TX Power and IBAT vs TX Power Level Settings (6 OFDM)
CC3230S CC3230SF TX Power and IBAT vs TX Power Level Settings (54 OFDM)Figure 7-3 TX Power and IBAT vs TX Power Level Settings (54 OFDM)

 

The back-off range is between -6dB to +6dB in 0.25dB increments.
FCC/ISED, ETSI (Europe), and Japan are supported.
Back-off rates are grouped into 11b rates, high modulation rates (MCS7, 54 OFDM and 48 OFDM), and lower modulation rates (all other rates).