Choose compensation components for a stable control loop using the procedure outlined as follows.
- Based on a specified open-loop gain crossover frequency, fC, of 60 kHz, use Equation 43 to calculate RCOMP1, assuming an effective output capacitance of 130 µF. Select RCOMP1 of 20 kΩ.
Equation 43. 
- Calculate CCOMP1 to create a zero at the higher of (1) one tenth of the crossover frequency, or (2) the load pole. Select a CCOMP1 capacitor of 1 nF.
Equation 44. 
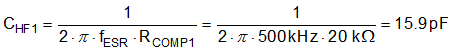
- Calculate CHF1 to create a pole at the ESR zero and to attenuate high-frequency noise at COMP. Select a CHF1 capacitor of 15 pF.
Equation 45. 
Note: Set a fast loop with high RCOMP and low CCOMP values to improve the response when recovering from operation in dropout.