JAJA722A June 2020 – November 2022 LM5156 , LM5156-Q1 , LM51561 , LM51561-Q1 , LM51561H , LM51561H-Q1 , LM5156H , LM5156H-Q1
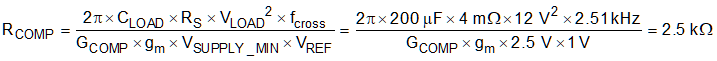
RCOMP の値は、制御ループのクロスオーバー周波数に直接影響します。クロスオーバー周波数が高いほど、制御ループが過渡条件にすばやく応答できます。求められるループのクロスオーバー周波数が 2.51kHz なら、RCOMP はEquation25 で計算されます。

ここで
RCOMP には 2.49kΩ を選択します。RCOMP 抵抗値を減らすとクロスオーバー周波数が低くなりますが、指定された電源電圧範囲にわたって制御ループが安定した状態を維持するのに役立ちます。