SLUS223H April   1997  – October 2024 UC1842 , UC1843 , UC1844 , UC1845 , UC2842 , UC2843 , UC2844 , UC2845 , UC3842 , UC3843 , UC3844 , UC3845

PRODUCTION DATA  

  1.   1
  2. Features
  3. Applications
  4. Description
  5. Device Comparison Table
  6. Pin Configuration and Functions
  7. Specifications
    1. 6.1 Absolute Maximum Ratings
    2. 6.2 ESD Ratings
    3. 6.3 Recommended Operating Conditions
    4. 6.4 Thermal Information
    5. 6.5 Electrical Characteristics
    6. 6.6 Typical Characteristics
  8. Detailed Description
    1. 7.1 Overview
    2. 7.2 Functional Block Diagrams
    3. 7.3 Feature Description
      1. 7.3.1  Detailed Pin Description
        1. 7.3.1.1 COMP
        2. 7.3.1.2 VFB
        3. 7.3.1.3 ISENSE
        4. 7.3.1.4 RT/CT
        5. 7.3.1.5 GROUND
        6. 7.3.1.6 OUTPUT
        7. 7.3.1.7 VCC
        8. 7.3.1.8 VREF
      2. 7.3.2  Pulse-by-Pulse Current Limiting
      3. 7.3.3  Current-Sense
      4. 7.3.4  Error Amplifier With Low Output Resistance
      5. 7.3.5  Undervoltage Lockout
      6. 7.3.6  Oscillator
      7. 7.3.7  Synchronization
      8. 7.3.8  Shutdown Technique
      9. 7.3.9  Slope Compensation
      10. 7.3.10 Soft Start
      11. 7.3.11 Voltage Mode
    4. 7.4 Device Functional Modes
      1. 7.4.1 Normal Operation
      2. 7.4.2 UVLO Mode
  9. Application and Implementation
    1. 8.1 Application Information
      1. 8.1.1 Open-Loop Test Fixture
    2. 8.2 Typical Application
      1. 8.2.1 Design Requirements
      2. 8.2.2 Detailed Design Procedure
        1. 8.2.2.1  Input Bulk Capacitor and Minimum Bulk Voltage
        2. 8.2.2.2  Transformer Turns Ratio and Maximum Duty Cycle
        3. 8.2.2.3  Transformer Inductance and Peak Currents
        4. 8.2.2.4  Output Capacitor
        5. 8.2.2.5  Current Sensing Network
        6. 8.2.2.6  Gate Drive Resistor
        7. 8.2.2.7  VREF Capacitor
        8. 8.2.2.8  RT/CT
        9. 8.2.2.9  Start-Up Circuit
        10. 8.2.2.10 Voltage Feedback Compensation
          1. 8.2.2.10.1 Power Stage Poles and Zeroes
          2. 8.2.2.10.2 Slope Compensation
          3. 8.2.2.10.3 Open-Loop Gain
          4. 8.2.2.10.4 Compensation Loop
      3. 8.2.3 Application Curves
    3. 8.3 Power Supply Recommendations
    4. 8.4 Layout
      1. 8.4.1 Layout Guidelines
        1. 8.4.1.1 Feedback Traces
        2. 8.4.1.2 Bypass Capacitors
        3. 8.4.1.3 Compensation Components
        4. 8.4.1.4 Traces and Ground Planes
      2. 8.4.2 Layout Example
  10. Device and Documentation Support
    1. 9.1 Receiving Notification of Documentation Updates
    2. 9.2 Support Resources
    3. 9.3 Trademarks
    4. 9.4 Electrostatic Discharge Caution
    5. 9.5 Glossary
  11. 10Revision History
  12. 11Mechanical, Packaging, and Orderable Information

Package Options

Mechanical Data (Package|Pins)
Thermal pad, mechanical data (Package|Pins)
Orderable Information
Power Stage Poles and Zeroes

The first step in compensating a fixed frequency flyback is to verify if the converter is continuous conduction mode (CCM) or discontinuous conduction mode (DCM).  If the primary inductance, LP, is greater than the inductance for DCM/CCM boundary mode operation, called the critical inductance, or LPcrit, then the converter operates in CCM:

Equation 23. UC1842 UC2842 UC3842 UC1843 UC2843 UC3843 UC1844 UC2844 UC3844 UC1845 UC2845 UC3845
Equation 24. UC1842 UC2842 UC3842 UC1843 UC2843 UC3843 UC1844 UC2844 UC3844 UC1845 UC2845 UC3845

For the entire input voltage range, the selected inductor has value larger than the critical inductor. Therefore, the converter operates in CCM and the compensation loop requires design based on CCM flyback equations.

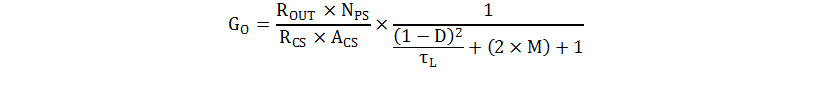
The current-to-voltage conversion is done externally with the ground-referenced current sense resistor, RCS, and the internal resistor divider of 2R/R which sets up the internal current sense gain, ACS = 3.  Note that the exact value of these internal resistors is not critical but the IC provides tight control of the resistor divider ratio, so regardless of the actual resistor value variations the relative value to each other is maintained.

The DC open-loop gain, GO, of the fixed-frequency voltage control loop of a peak current mode control CCM flyback converter shown in Equation 25 is approximated by first using the output load, ROUT, the primary to secondary turns ratio, NPS, the maximum duty cycle, D, calculated in Equation 25.

Equation 25. UC1842 UC2842 UC3842 UC1843 UC2843 UC3843 UC1844 UC2844 UC3844 UC1845 UC2845 UC3845

In Equation 25, D is calculated with Equation 26, τL is calculated with Equation 27, and M is calculated with Equation 28.

Equation 26. UC1842 UC2842 UC3842 UC1843 UC2843 UC3843 UC1844 UC2844 UC3844 UC1845 UC2845 UC3845
Equation 27. UC1842 UC2842 UC3842 UC1843 UC2843 UC3843 UC1844 UC2844 UC3844 UC1845 UC2845 UC3845
Equation 28. UC1842 UC2842 UC3842 UC1843 UC2843 UC3843 UC1844 UC2844 UC3844 UC1845 UC2845 UC3845

For this design, a converter with an output voltage VOUT of 12 V, and 48 W relates to an output load, ROUT, equal to 3 Ω at full load. With a maximum duty cycle calculated to be 0.627, a current sense resistance, RCS, of 0.75 Ω, and a primary to secondary turns-ratio, NPS, of 10, the open-loop gain calculates to 3.082, or 9.776 dB.

A CCM flyback has two zeroes that are of interest. The ESR and the output capacitance contribute a left-half plane zero, ωESRz, to the power stage, and the frequency of this zero, fESRz, are calculated with Equation 30.

Equation 29. UC1842 UC2842 UC3842 UC1843 UC2843 UC3843 UC1844 UC2844 UC3844 UC1845 UC2845 UC3845
Equation 30. UC1842 UC2842 UC3842 UC1843 UC2843 UC3843 UC1844 UC2844 UC3844 UC1845 UC2845 UC3845

The fESRz zero for an output capacitance of 2200 µF and a total ESR of 43 mΩ is located at 1.682 kHz.

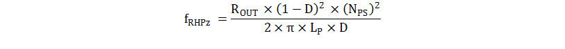
CCM flyback converters have a zero in the right-half plane, RHP, in the transfer function. A RHP zero has the same 20 dB/decade rising gain magnitude with increasing frequency just like a left-half plane zero, but an RHP zero adds a 90° phase lag instead of lead. This phase lag tends to limit the overall loop bandwidth. The frequency location, fRHPz, of the RHP zero, ωRHPz, is a function of the output load, the duty cycle, the primary inductance, LP, and the primary to secondary side turns ratio, NPS.

Equation 31. UC1842 UC2842 UC3842 UC1843 UC2843 UC3843 UC1844 UC2844 UC3844 UC1845 UC2845 UC3845
Equation 32. UC1842 UC2842 UC3842 UC1843 UC2843 UC3843 UC1844 UC2844 UC3844 UC1845 UC2845 UC3845

The right-half plane zero frequency increases with higher input voltage and lighter load. Generally, the design requires consideration of the worst case of the lowest right-half plane zero frequency and the converter must be compensated at the minimum input and maximum load condition. With a primary inductance of 1.5 mH, at 75-V DC input, the RHP zero frequency, fRHPz, is equal to 7.07 kHz at maximum duty cycle, full load.

The power stage has one dominate pole, ωP1, which is in the region of interest, located at a lower frequency, fP1, which is related to the duty cycle, D, the output load, and the output capacitance, calculated with Equation 34. There is also a double pole placed at half the switching frequency of the converter, fP2 calculated with Equation 36. For this example, pole fP1 is located at 40.37 Hz and fP2 is at 55 kHz.

Equation 33. UC1842 UC2842 UC3842 UC1843 UC2843 UC3843 UC1844 UC2844 UC3844 UC1845 UC2845 UC3845
Equation 34. UC1842 UC2842 UC3842 UC1843 UC2843 UC3843 UC1844 UC2844 UC3844 UC1845 UC2845 UC3845
Equation 35. UC1842 UC2842 UC3842 UC1843 UC2843 UC3843 UC1844 UC2844 UC3844 UC1845 UC2845 UC3845
Equation 36. UC1842 UC2842 UC3842 UC1843 UC2843 UC3843 UC1844 UC2844 UC3844 UC1845 UC2845 UC3845