SPRUHJ1I January 2013 – October 2021 TMS320F2802-Q1 , TMS320F28026-Q1 , TMS320F28026F , TMS320F28027-Q1 , TMS320F28027F , TMS320F28027F-Q1 , TMS320F28052-Q1 , TMS320F28052F , TMS320F28052F-Q1 , TMS320F28052M , TMS320F28052M-Q1 , TMS320F28054-Q1 , TMS320F28054F , TMS320F28054F-Q1 , TMS320F28054M , TMS320F28054M-Q1 , TMS320F2806-Q1 , TMS320F28062-Q1 , TMS320F28062F , TMS320F28062F-Q1 , TMS320F28068F , TMS320F28068M , TMS320F28069-Q1 , TMS320F28069F , TMS320F28069F-Q1 , TMS320F28069M , TMS320F28069M-Q1
Voltage feedback is needed in the FAST estimator to allow the best performance at the widest speed range. Other algorithms rely on software variables which fail to represent the voltage phases accurately. In FAST, phase voltages are measured directly from the motor phases instead of a software estimate. This is why the hardware setting for voltage feedback is another prerequisite for InstaSPIN and motor identification. This software value (USER_ADC_FULL_SCALE_VOLTAGE_V) depends on the circuit that senses the voltage feedback from the motor phases. Figure 6-7 is an example of a voltage feedback circuit based on resistor dividers.
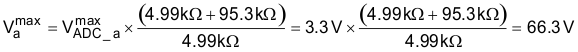
Figure 5-7 Voltage Feedback CircuitThe maximum phase voltage feedback measurable by the microcontroller in this example can be calculated as follows, considering the maximum voltage for the ADC input is 3.3V:

With that voltage feedback circuit, the following setting is done in user.h:
//! \brief Defines the maximum voltage at the input to the AD converter
#define USER_ADC_FULL_SCALE_VOLTAGE_V (66.3)If we consider 20-30% headroom for this value, the maximum voltage input to the system is recommended to be between 66.3*0.7 = 46.4 V and 66.3*0.8 = 53, so for a motor of 48 V this voltage feedback resistor divider is ideal.
An example of a different nominal voltage is given next. If the motor to be driven has a nominal voltage of 24 V, then the voltage feedback circuit needs to be modified so that the ADC resolution is maximized for the measured voltage. Following the same recommendation for headroom, consider a nominal of 24 V, and a headroom value of 30%. This gives us a USER_ADC_FULL_SCALE_VOLTAGE_V of 24*1.3 = 31.2 V which is represented in Equation 7, where we fix one of the resistors to leave only one variable.

That would give us the maximum voltage of 31.2 V configured as follows:
//! \brief Defines the maximum voltage at the input to the AD converter
#define USER_ADC_FULL_SCALE_VOLTAGE_V (31.2)The voltage feedback circuit with those values is represented in Figure 6-8.
Figure 5-8 Voltage Feedback Circuit